Online Database of Chemicals from Around the World

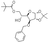
1,2-O-(1-甲基亚乙基)-3-O-(苯基甲基)-alpha-D-呋喃葡萄糖 6-(2,2-二甲基丙酸酯)
[CAS# 321380-09-0]

基本信息
英文名 1,2-O-(1-Methylethylidene)-3-O-(phenylmethyl)-alpha-D-glucofuranose 6-(2,2-dimethylpropanoate)
产品名称 1,2-O-(1-甲基亚乙基)-3-O-(苯基甲基)-alpha-D-呋喃葡萄糖 6-(2,2-二甲基丙酸酯)
分子结构 CAS 登录号:321380-09-0, 1,2-O-(1-甲基亚乙基)-3-O-(苯基甲基)-alpha-D-呋喃葡萄糖 6-(2,2-二甲基丙酸酯)
分子式 C21H30O7
分子量 394.46
CAS 登录号 321380-09-0
物理化学性质
溶解度 极微溶解 (0.22 g/L) (25 ºC), 计算值*
密度 1.20±0.1 g/cm3 (20 ºC 760 torr), 计算值*
熔点 99-101 ºC (ethyl acetate hexane )**
* 使用计算软件 Advanced Chemistry Development (ACD/Labs) V11.02 (©1994-2016 ACD/Labs)
** Csiki, Zsuzsanna; Synthesis 2010, (15), P2626-2630.
市场分析报告
请浏览1,2-O-(1-甲基亚乙基)-3-O-(苯基甲基)-alpha-D-呋喃葡萄糖 6-(2,2-二甲基丙酸酯)市场分析报告总目录
相关产品
1-甲酰基-2-亚异丙基肼  1,2-O-(1-甲基亚乙基)-beta-L-呋喃来苏糖  2,3-O-(1-甲基亚乙基)-alpha-D-呋喃来苏糖  2,3-O-(异丙亚基)-alpha-D-吡喃甘露糖三乙酸酯  (5xi)-5,6-O-(1-甲基亚乙基)-1-C-(4-甲基-1-哌嗪基)-5-C-[(苯基甲氧基)甲基]-2,3,4-三-O-(苯基甲基)-D-木己糖草酸盐  1,2-O-(1-甲基亚乙基)-4-C-[[(甲基磺酰基)氧基]甲基]-3-O-(苯基甲基)-alpha-D-赤式-呋喃戊糖 5-甲烷磺酸酯  (5S)-4,5-O-(1-甲基亚乙基)-1-C-4-吗啉基-D-戊二醛-5,2-呋喃木糖  1,2-O-(异丙亚基)-alpha-D-赤式-呋喃戊-3-酮糖苯甲酸酯  1,2-O-(异丙亚基)-4-C-[(苯基甲氧基)甲基]-3-O-(苯基甲基)-beta-L-来苏呋喃糖  1,2-O-(1-甲基亚乙基)-3-O-(苯基甲基)-alpha-D-呋喃葡萄糖 6-乙酸酯 5-甲烷磺酸酯  1,2-O-(1-甲基亚乙基)-3-O-(苯基甲基)-beta-L-呋喃来苏糖  2,3-O-(1-甲基亚乙基)-1-O-(苯基甲基)-alpha-L-呋喃山梨糖 6-(4-甲基苯磺酸酯)  1,2-O-(1-甲基亚乙基)-3-O-(苯基甲基)-6-O-(三苯基甲基)-alpha-D-呋喃葡萄糖 5-甲烷磺酸酯  3-[(1-甲基乙基)氨基]-1-吡咯烷甲酸叔丁酯  2-[异丙基氨基]-4-噻唑羧酸  [3-[[[(异丙基)氨基]硫代甲酰基]氨基]苯基]硼酸  N-[5-[(1-甲基乙基)氨基]-7-(三氟甲基)[1,2,4]三唑并[1,5-a]吡啶-2-基]-3-吡啶甲酰胺  (alphaS)-alpha-(1-甲基乙基)苯乙酸  (alphaR)-alpha-(1-甲基乙基)苯乙酸  alpha-异丙基苯丙胺