| Discovery Fine Chemicals Ltd. | 英国 | 询价快递 | ||
|---|---|---|---|---|
![]() |
+44 (1202) 874-517 | |||
![]() |
pjc@discofinechem.com | |||
| 化学品生产商 | ||||
| chemBlink 标准供应商 (2009年起) | ||||
| 台州市科瑞生物技术有限公司 | 中国 | 询价快递 | ||
|---|---|---|---|---|
![]() |
+86 (576) 8881-3233 8820-5808 +86 13396860566 | |||
![]() |
order@pharm-intermediates.com | |||
![]() |
QQ 交谈 | |||
| 化学品生产商 (2011年起) | ||||
| chemBlink 标准供应商 (2009年起) | ||||
| BOC Sciences | 美国 | 询价快递 | ||
|---|---|---|---|---|
![]() |
+1 (631) 485-4226 | |||
![]() |
info@bocsci.com | |||
| 化学品生产商 | ||||
| chemBlink 标准供应商 (2010年起) | ||||
| 上海昊航化工有限公司 | 中国 | 询价快递 | ||
|---|---|---|---|---|
![]() |
+86 (21) 3111-5312 | |||
![]() |
info@hohance.com | |||
| 化学品生产商 | ||||
| chemBlink 标准供应商 (2011年起) | ||||
| Apexbio Technology LLC | 美国 | 询价快递 | ||
|---|---|---|---|---|
![]() |
+1 (832) 696-8203 | |||
![]() |
info@apexbt.com | |||
| 化学品生产商 (2012年起) | ||||
| chemBlink 标准供应商 (2013年起) | ||||
| Hangzhou Leap Chem Co., Ltd. | 中国 | 询价快递 | ||
|---|---|---|---|---|
![]() |
+86 (571) 8771-1850 | |||
![]() |
market19@leapchem.com | |||
![]() |
QQ 交谈 | |||
| 化学品生产商 (2006年起) | ||||
| chemBlink 标准供应商 (2015年起) | ||||
| 宁波亿盛生物科技有限公司 | 中国 | 询价快递 | ||
|---|---|---|---|---|
![]() |
+86 (574) 6208-9878 +86 18657120662 | |||
![]() |
sales@easunbiotech.com | |||
![]() |
QQ 交谈 | |||
| 化学品生产商 (2015年起) | ||||
| chemBlink 标准供应商 (2015年起) | ||||
| 上海赢瑞生物医药科技有限公司 | 中国 | 询价快递 | ||
|---|---|---|---|---|
![]() |
+86 (21) 3358-5366 3466-6753 +86 13311639313 | |||
![]() |
sales02@shyrchem.com | |||
![]() |
QQ 交谈 | |||
![]() |
Skype 聊天 | |||
| 化学品生产商 (2009年起) | ||||
| chemBlink 标准供应商 (2017年起) | ||||
| 产品分类 | 原料药 >> 抗肿瘤药 >> 抗生素类抗肿瘤药 |
|---|---|
| 英文名 | Actinomycin D |
| 别名 | Dactinomycin; 2-Amino-N,N'-bis[hexadecahydro-2,5,9-trimethyl-6,13-bis(1-methylethyl)-1,4,7,11,14-pentaoxo-1H-pyrrolo[2,1-i][1,4,7,10,13]oxatetraazacyclohexadecin-10-yl]-4,6-dimethyl-3-oxo-3H-phenoxazine-1,9-dicarboxamide |
| 产品名称 | 放线菌素 D; 更生霉素 |
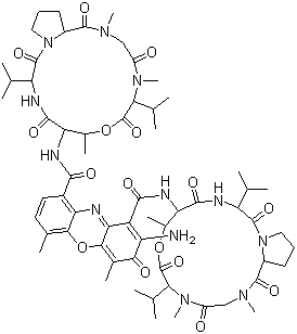
| 分子结构 | ![]() |
| 分子式 | C62H86N12O16 |
| 分子量 | 1255.43 |
| CAS 登录号 | 50-76-0 |
| EC 号码 | 200-063-6 |
| 分子行输入简码 SMILES |
C[C@@H]1[C@@H](C(=O)N[C@@H](C(=O)N2CCC[C@H]2C(=O)N(CC(=O)N([C@H](C(=O)O1)C(C)C)C)C)C(C)C)NC(=O)C3=C4C(=C(C=C3)C)OC5=C(C(=O)C(=C(C5=N4)C(=O)N[C@H]6[C@H](OC(=O)[C@@H](N(C(=O)CN(C(=O)[C@@H]7CCCN7C(=O)[C@H](NC6=O)C(C)C)C)C)C(C)C)C)N)C |
| 溶解度 | 10 mm (dmso) (实验值) |
|---|---|
| 密度 | 1.4±0.1 g/cm3, 计算值* |
| 熔点 | 241-243 ºc |
| 折射率 | 1.656, 计算值* |
| 沸点 | 1386.0±65.0 ºc (760 mmHg), 计算值* |
| 闪点 | 792.1±34.3 ºc, 计算值* |
| * | 使用计算软件 Advanced Chemistry Development (ACD/Labs). |
| 危险品标志 |
| ||||||||||||||||||||||||||||||||||||||||
|---|---|---|---|---|---|---|---|---|---|---|---|---|---|---|---|---|---|---|---|---|---|---|---|---|---|---|---|---|---|---|---|---|---|---|---|---|---|---|---|---|---|
| 危害标签 | H300-H350-H360 说明 | ||||||||||||||||||||||||||||||||||||||||
| 防护标签 | P203-P264-P270-P280-P301+P316-P318-P321-P330-P405-P501 说明 | ||||||||||||||||||||||||||||||||||||||||
| 危害分类 | |||||||||||||||||||||||||||||||||||||||||
| |||||||||||||||||||||||||||||||||||||||||
| SDS | 化学品安全技术说明书参考文本 危险化学品 | ||||||||||||||||||||||||||||||||||||||||
|
放线菌素 D 是一种强效抗生素和抗癌剂,最早发现于 20 世纪 50 年代。1956 年,默克公司的研究人员从土壤微生物细菌 *Streptomyces parvullus* 中分离出该化合物。该化合物属于放线菌素类药物,其特点是能够通过与 DNA 模板结合来抑制 DNA 转录。这一发现是化疗药物开发的重要里程碑,为治疗各种癌症和其他疾病提供了新的机会。 放线菌素 D 的化学结构由一个发色团(一种吸光基团)和一个多肽链组成,多肽链使该化合物能够与 DNA 相互作用。发色团负责其强大的生物活性,而多肽链则有助于其附着在 DNA 分子上。放线菌素 D 的作用是插入 DNA 碱基对之间,从而阻止 RNA 聚合酶正常运作。这种对 RNA 合成的抑制会阻止必需基因的转录,从而抑制蛋白质的产生并最终导致细胞死亡。这种作用机制使放线菌素 D 成为对抗快速增殖细胞(如癌细胞)的强效药物。 放线菌素 D 的主要应用是治疗癌症,尤其是儿科肿瘤学。它已用于治疗多种癌症,包括威尔姆斯肿瘤(一种主要影响儿童的肾癌)和横纹肌肉瘤(一种软组织癌)。该药物通常通过静脉注射给药,并经常与其他化疗药物联合使用以增强其疗效。放线菌素 D 已被证明在治疗这些癌症方面非常有效,尤其是在早期或局部病例中使用时。其抑制细胞分裂和生长的能力使其成为化疗方案中的一种宝贵工具。 放线菌素 D 还用于治疗某些罕见癌症,如通常与 HIV/AIDS 相关的卡波西肉瘤和源自胎盘组织的滋养层肿瘤。它能够靶向快速分裂的细胞,因此非常适合治疗以细胞增殖活跃为特征的癌症。除了在肿瘤学中的应用外,放线菌素 D 还因其在某些传染病治疗中的潜力而受到研究,尽管其主要用途仍是癌症治疗。 虽然放线菌素 D 已被证明是一种有效的抗癌剂,但由于其毒性,它会产生多种副作用。常见的副作用包括恶心、呕吐、骨髓活性抑制(导致血细胞计数减少)以及对肝脏和肾脏等器官的潜在损害。这些副作用可能会限制该药物的使用,尤其是对于已有器官功能障碍的患者。然而,这种药物通常在严格控制的环境中使用,其强效抗癌活性带来的好处超过了其毒性带来的风险。 研究人员还研究了放线菌素 D 与其他治疗剂的联合使用,以提高其疗效并减少其副作用。例如,它与其他化疗药物(如长春新碱和环磷酰胺)的联合使用已被证明可以改善癌症治疗的总体结果。联合方法旨在通过多种机制靶向癌细胞,从而可能降低对治疗产生耐药性的可能性。 尽管放线菌素 D 很有用,但它并非没有局限性。其使用面临的一个关键挑战是癌细胞产生耐药性。随着时间的推移,癌细胞可能会进化出逃避药物作用的机制,从而降低其疗效。研究人员继续探索克服这种耐药性的方法,包括开发放线菌素 D 的新配方或发现可以与其协同作用的其他化合物。 总之,放线菌素 D 是化疗领域的重要药物,对各种癌症,特别是儿童恶性肿瘤的治疗具有重大影响。它的发现标志着癌症治疗的重要进步,其靶向 DNA 转录的能力使其成为抗击癌症的宝贵工具。然而,它的毒性和耐药性潜力继续带来挑战,强调需要持续研究和开发补充治疗策略。 参考文献 1979. Acid ribonuclease activation in the chick oviduck by tissue damage, actinomycin D and progesterone. Journal of Steroid Biochemistry, 11(1). DOI: 10.1016/0022-4731(79)90515-6 1979. Effect of liposome-entrapped methotrexate on ehrlich ascites tumor cells and uptake in primary liver cell tumor. Journal of Cancer Research and Clinical Oncology, 94(2). DOI: 10.1007/bf00405346 1979. Studies on the efficiency of translation and on the stability of actin messenger ribonucleic acid in mouse sarcoma ascites cells. Biochemistry, 18(13). DOI: 10.1021/bi00581a037 |
| 市场分析报告 |
| 请浏览放线菌素 D市场分析报告总目录 |