Online Database of Chemicals from Around the World

二硬脂基过氧二碳酸酯
[CAS# 52326-66-6]

供应商目录
CAS: 52326-66-6
产品: 二硬脂基过氧二碳酸酯
暂时没有厂家供应
基本信息
英文名 Distearyl peroxydicarbonate
别名 Peroxydicarbonic acid dioctadecyl ester
产品名称 二硬脂基过氧二碳酸酯
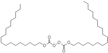
分子结构 CAS 登录号:52326-66-6, 二硬脂基过氧二碳酸酯
分子式 C38H74O6
分子量 626.99
CAS 登录号 52326-66-6
EC 号码 257-850-2
物理化学性质
溶解度 不溶 (3.6e-9 g/L) (25 ºC), 计算值*
密度 0.928±0.06 g/cm3 (20 ºC 760 torr), 计算值*
* 使用计算软件 Advanced Chemistry Development (ACD/Labs) V11.02 (©1994-2017 ACD/Labs)
安全数据
是否危险化学品 是,查详情。
市场分析报告
请浏览二硬脂基过氧二碳酸酯市场分析报告总目录
相关产品
分散黄 42  分散黄 49  分散黄 50  分散黄 64  歧化妥尔油  二硬脂酰基卵磷脂  二硬脂酰磷脂酰甘油钠盐  二硬脂酰基磷脂酰基丝氨酸  1,2-二硬酯酰-sn-甘油-3-磷酰乙醇胺  二(十八烷基)二硫化物  硫代二丙酸双十八醇酯  溴地斯的明  碳氢化树脂高沸蒸馏油  烷基化石油  硫交联聚合的石油裂解蒸馏油(C5-18)  蒸馏油(石油),蒸汽-裂解聚合物与亮蒸汽-裂解石油萘  二苯乙烯基苯酚聚氧乙烯醚  N,N'-二琥珀酰亚胺基碳酸酯  双琥珀酰亚胺戊二酸酯  双琥珀酰亚胺辛二酸酯