Online Database of Chemicals from Around the World

Trimethylolpropane ethoxylated propoxylated
[CAS# 52624-57-4]

List of Suppliers
BOC Sciences USA Inquire  
+1 (631) 485-4226
info@bocsci.com
Chemical manufacturer
chemBlink standard supplier since 2010
The Dow Chemical Company USA Inquire  
+1 (989) 633-1706
fmdcigs@dow.com
Chemical manufacturer
chemBlink standard supplier since 2012
Complete supplier list of Trimethylolpropane ethoxylated propoxylated
Identification
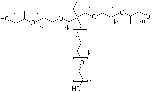
Name Trimethylolpropane ethoxylated propoxylated
Synonyms Ethoxylated-propoxylated trimethylolpropane; Ethylene oxide-propylene oxide copolymer ether with trimethylolpropane; Ethylene oxide-propylene oxide copolymer trimethylolpropane ether; Trimethylolpropane polyethylene-polypropylene glycol ether
Molecular Structure CAS # 52624-57-4, Trimethylolpropane ethoxylated propoxylated, Ethoxylated-propoxylated trimethylolpropane, Ethylene oxide-propylene oxide copolymer ether with trimethylolpropane, Ethylene oxide-propylene oxide copolymer trimethylolpropane ether, Trimethylolpropane polyethylene-polypropylene glycol ether
CAS Registry Number 52624-57-4
EC Number 610-877-7
Safety Data
Hazard Classification
up    Details
HazardClassCategory CodeHazard Statement
Skin irritationSkin Irrit.2H315
Specific target organ toxicity - single exposureSTOT SE3H335
Eye irritationEye Irrit.2H319
Serious eye damageEye Dam.1H318
Market Analysis Reports
List of Reports Available for Trimethylolpropane ethoxylated propoxylated
Related Products
N,N,2-Trimethyl-5-nitrobenzenesulfonamide  N,N,2-Trimethyl-7-nitro-1H-benzimidazole-1-propanamine dihydrochloride  2,4,6-Trimethyl-3-nitropyridine  N,2,3-Trimethyl-5-nitro-6-quinoxalinamine  2,6,8-Trimethyl-4-nonanone  N,N,N-Trimethyloctadecan-1-aminium iodide  Trimethyloctylammonium bromide  Trimethylolethane triglycidyl ether  Trimethylol propane  Trimethylolpropane diallyl ether  Trimethylolpropane propoxylate triacrylate  Trimethylolpropane triacrylate  Trimethylolpropane triglycidyl ether  Trimethylolpropane trimethacrylate  Trimethylolpropane tris(3-aziridinylpropanoate)  Trimethylolpropane tris(3-mercaptopropionate)  Trimethylolpropane tris(2-methyl-1-aziridinepropionate)  Trimethylolpropane tris(trimethylsilyl) ether  Trimethyl orthoacetate  Trimethyl orthobenzoate