Online Database of Chemicals from Around the World

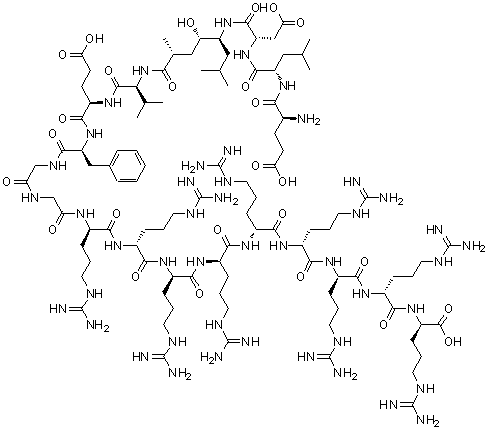
L-alpha-Glutamyl-L-leucyl-L-alpha-aspartyl-(2R,4S,5S)-5-amino-4-hydroxy-2,7-dimethyloctanoyl-L-valyl-L-alpha-glutamyl-L-phenylalanylglycylglycyl-D-arginyl-D-arginyl-D-arginyl-D-arginyl-D-arginyl-D-arginyl-D-arginyl-D-arginyl-D-arginine
[CAS# 527674-72-2]

Identification
Classification Biochemical >> Peptide
Name L-alpha-Glutamyl-L-leucyl-L-alpha-aspartyl-(2R,4S,5S)-5-amino-4-hydroxy-2,7-dimethyloctanoyl-L-valyl-L-alpha-glutamyl-L-phenylalanylglycylglycyl-D-arginyl-D-arginyl-D-arginyl-D-arginyl-D-arginyl-D-arginyl-D-arginyl-D-arginyl-D-arginine
Molecular Structure CAS # 527674-72-2, L-alpha-Glutamyl-L-leucyl-L-alpha-aspartyl-(2R,4S,5S)-5-amino-4-hydroxy-2,7-dimethyloctanoyl-L-valyl-L-alpha-glutamyl-L-phenylalanylglycylglycyl-D-arginyl-D-arginyl-D-arginyl-D-arginyl-D-arginyl-D-arginyl-D-arginyl-D-arginyl-D-arginine
Molecular Formula C102H183N45O26
Molecular Weight 2455.83
CAS Registry Number 527674-72-2
Properties
Density 1.52±0.1 g/cm3 (20 ºC 760 Torr), Calc.*
* Calculated using Advanced Chemistry Development (ACD/Labs) Software V11.02 (©1994-2016 ACD/Labs)
Market Analysis Reports
List of Reports Available for L-alpha-Glutamyl-L-leucyl-L-alpha-aspartyl-(2R,4S,5S)-5-amino-4-hydroxy-2,7-dimethyloctanoyl-L-valyl-L-alpha-glutamyl-L-phenylalanylglycylglycyl-D-arginyl-D-arginyl-D-arginyl-D-arginyl-D-arginyl-D-arginyl-D-arginyl-D-arginyl-D-arginine
Related Products
L-alpha-Glutamyl-L-alpha-glutamyl-L-valyl-L-glutaminyl-L-seryl-L-leucyl-L-prolyl-L-leucyl-L-prolyl-L-leucine  L-alpha-Glutamylglycyl-L-alpha-aspartyl-L-cysteinyl-L-alanyl-L-prolyl-L-alpha-glutamyl-L-alpha-glutamyl-L-lysine  L-alpha-Glutamylglycyl-L-leucyl-L-leucyl-L-arginyl-L-seryl-L-glutaminyl-L-alanyl-L-arginyl-L-threonyl-L-arginyl-L-alanyl-L-lysyl-glycine  L-alpha-Glutamyl-L-histidyl-L-alpha-glutamyl-L-alpha-glutamyl-L-tyrosyl-L-glutaminyl-L-alanylglycyl-L-valyl-L-alpha-aspartyl-L-alpha-glutamyl-L-phenylalanine  L-alpha-Glutamyl-L-histidylglycine  L-gamma-Glutamyl-S-(1H-indol-3-ylmethyl)-L-cysteinylglycine  L-alpha-Glutamyl-L-isoleucyl-L-isoleucyl-L-tyrosyl-L-prolyl-L-asparaginyl-L-alanyl-L-seryl-L-leucyl-L-leucyl-L-isoleucyl-L-glutaminyl-L-asparagine  N-L-gamma-Glutamyl-L-leucine  L-alpha-Glutamyl-L-leucyl-L-alanylglycyl-L-isoleucylglycyl-L-isoleucyl-L-leucyl-L-threonyl-L-valine  L-alpha-Glutamyl-L-leucyl-L-arginyl-L-methionyl-L-seryl-L-seryl-L-seryl-L-tyrosyl-L-prolyl-L-threonylglycyl-L-leucyl-L-alanyl-L-alpha-aspartyl-L-valyl-L-lysyl-L-alanylglycyl-L-prolyl-L-alanyl-L-glutaminyl-L-threonyl-L-leucyl-L-isoleucyl-L-arginyl-L-prolyl-L-glutaminyl-L-alpha-aspartyl-L-methionyl-L-lysylglycyl-L-alanyl-L-seryl-L-arginyl-L-seryl-L-prolyl-L-alpha-glutamyl-L-alpha-aspartyl-L-seryl-L-seryl-L-prolyl-L-alpha-aspartyl-L-alanyl-L-alanyl-L-arginyl-L-isoleucyl-L-arginyl-L-valine  L-alpha-Glutamyl-L-leucyl-L-threonyl-L-leucylglycyl-L-alpha-glutamyl-L-phenylalanyl-L-leucyl-L-lysyl-L-leucine  L-alpha-Glutamyl-L-leucyl-L-valyl-L-arginyl-L-arginyl-L-isoleucyl-L-leucyl-L-seryl-L-arginine  epsilon-(gamma-L-Glutamyl)-L-lysine  L-alpha-Glutamyl-L-lysyl-L-isoleucyl-L-glutaminyl-L-lysyl-L-alanyl-L-phenylalanyl-L-alpha-aspartyl-L-alpha-aspartyl-L-isoleucyl-L-alanyl-L-lysyl-L-tyrosyl-L-phenylalanyl-L-seryl-L-lysine  L-alpha-Glutamyl-L-lysyl-L-prolyl-L-leucyl-L-glutaminyl-L-asparaginyl-L-phenylalanyl-L-threonyl-L-leucyl-L-cysteinyl-L-phenylalanyl-L-argininamide  L-gamma-Glutamyl-3-(methylseleno)-L-Alanine  alpha-L-Glutamyl-p-nitroanilide  L-Glutamyl-4-nitroanilide  L-alpha-Glutamyl-L-phenylalanyl-L-seryl-L-lysyl-L-alpha-glutamyl-L-prolyl-L-alpha-glutamyl-L-leucyl-L-methionine  L-alpha-Glutamyl-L-phenylalanyl-L-tyrosyl-L-leucyl-L-alanyl-L-methionyl-L-prolyl-L-phenylalanyl-L-alanyl-L-threonyl-L-prolyl-L-methionine