Online Database of Chemicals from Around the World

alpha1-16-促肾上腺皮质激素
[CAS# 5576-42-1]

供应商目录
Amadis Chemical Co., Ltd. 中国 询价快递  
+86 (571) 8992-5085
sales@amadischem.com
化学品生产商 (2010年起)
chemBlink 标准供应商 (2015年起)
Interchim Inc. 美国 询价快递  
+1 (800) 560-8262
info@interchiminc.com
化学品生产商
alpha1-16-促肾上腺皮质激素供应商总目录
基本信息
产品分类 生物化工 >> 多肽
英文名 alpha1-16-Corticotropin
别名 ACTH1-16
产品名称 alpha1-16-促肾上腺皮质激素
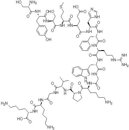
分子结构 CAS 登录号:5576-42-1, alpha1-16-促肾上腺皮质激素
分子式 C89H133N25O22S
分子量 1937.23
CAS 登录号 5576-42-1
物理化学性质
密度 1.47±0.1 g/cm3 (20 ºc 760 torr), 计算值*
* 使用计算软件 Advanced Chemistry Development (ACD/Labs) V11.02 (©1994-2014 ACD/Labs)
市场分析报告
请浏览alpha1-16-促肾上腺皮质激素市场分析报告总目录
相关产品
苯并二氢呋喃二酮  苯并呋喃-2(3H)-酮  对香豆酸乙酯  香豆素  香豆素 102  科罗索酸  科罗索酸苄酯  (2alpha,3beta)-乌苏-12-烯-2,3,28-三醇  皮质稳定素 I (兔)  皮质酮  alpha1-17-促肾上腺皮质激素  (1-10)-促肾上腺皮质激素  促肾上腺皮质激素  促肾上腺皮质激素释放因子(牛)  促肾上腺皮质激素释放激素  促肾上腺皮质激素-(11-24)-十四肽  皮质醇 17-(碳酸乙酯)酯 21-丙酸酯  可的松  醋酸可的松  皮质抑素-14