Online Database of Chemicals from Around the World

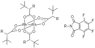
Rh2(S-TFPTTL)4
[CAS# 564450-56-2]

供应商目录
CAS: 564450-56-2
产品: Rh2(S-TFPTTL)4
暂时没有厂家供应
基本信息
英文名 Rh2(S-TFPTTL)4
别名 Tetrakis[mu-[(alphaS)-alpha-(1,1-dimethylethyl)-4,5,6,7-tetrafluoro-1,3-dihydro-1,3-dioxo-2H-isoindole-2-acetato]]dirhodium
产品名称 Rh2(S-TFPTTL)4
分子结构 CAS 登录号:564450-56-2, Rh2(S-TFPTTL)4
分子式 C56H40F16N4O16Rh2
分子量 1534.72
CAS 登录号 564450-56-2
物理化学性质
熔点 >280 ºC (ethyl acetate hexane )*
* Tsutsui, Hideyuki; Tetrahedron: Asymmetry 2003, V14(7), P817-821.
市场分析报告
请浏览Rh2(S-TFPTTL)4市场分析报告总目录
相关产品
杜鹃醇  (+)-杜鹃醇  闹羊花毒素 II  闹羊花毒素 III  闹羊花毒素 V  7,7'-亚氨双(4-羟基-2-萘磺酸)  野漆树苷  Rhoplex HA 8  Rhosin  Rh2(S-TCPTTL)4  盐肤木内酯 A  钩藤碱  RI-1  利巴韦林  瑞博西尼杂质18  核黄素-2,4,4a,10a-13C4-1,3-15N2  维生素 B2  核黄素-5'-磷酸钠二水合物  核黄素磷酸钠  1-乙酰氧基-2,3,5-三苯甲酰氧基-1-beta-D-呋喃核糖