Online Database of Chemicals from Around the World

(R)-D-myo-肌醇 1-[2,3-二[(1-氧代十六烷基)氧基]丙基氢磷酸酯] 4-(磷酸二氢酯)
[CAS# 57606-15-2]

基本信息
英文名 (R)-D-myo-Inositol 1-[2,3-bis[(1-oxohexadecyl)oxy]propyl hydrogen phosphate] 4-(dihydrogen phosphate)
产品名称 (R)-D-myo-肌醇 1-[2,3-二[(1-氧代十六烷基)氧基]丙基氢磷酸酯] 4-(磷酸二氢酯)
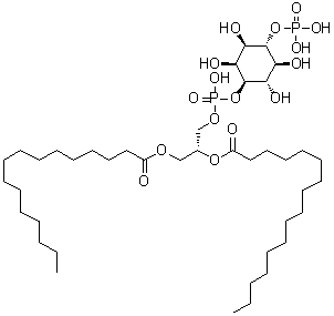
分子结构 CAS 登录号:57606-15-2, (R)-D-myo-肌醇 1-[2,3-二[(1-氧代十六烷基)氧基]丙基氢磷酸酯] 4-(磷酸二氢酯)
分子式 C41H80O16P2
分子量 891.01
CAS 登录号 57606-15-2
物理化学性质
溶解度 不溶 (6.7e-5 g/L) (25 ºC), 计算值*
密度 1.21±0.1 g/cm3 (20 ºC 760 torr), 计算值*
* 使用计算软件 Advanced Chemistry Development (ACD/Labs) V11.02 (©1994-2016 ACD/Labs)
市场分析报告
请浏览(R)-D-myo-肌醇 1-[2,3-二[(1-氧代十六烷基)氧基]丙基氢磷酸酯] 4-(磷酸二氢酯)市场分析报告总目录
相关产品
麦考酚酸莫酯N-氧化物  三氘代麦可酚酸  霉酚酸-(全碳-13)  霉酚酸  抗霉枯草菌素  HT-2 毒素  枝三烯菌素 I  Mycro 3  肌红蛋白  D-myo-肌醇 1-[(2R)-2,3-二[(1-氧代十六烷基)氧基]丙基磷酸氢酯] 5-(磷酸二氢酯)  myo-肌醇 1-(5-溴-4-氯-1H-吲哚-3-基磷酸氢酯) 单铵盐  D-myo-肌醇环 1,6:2,3:4,5-三(P,P'-二氢二磷酸酯)  myo-肌醇六(磷酸二氢酯)单钙盐  myo-肌醇六(磷酸二氢酯)十二钾盐  myo-肌醇 1-(4-甲基-2-氧代-2H-1-苯并吡喃-7-基磷酸氢酯)与4-甲基吗啉的化合物  胞壁酸  胞壁酸二肽 C  紫脲酸铵  米乐甾酮 A  密罗他辛