Online Database of Chemicals from Around the World

苦艾素 A1
[CAS# 58798-94-0]

供应商目录
成都普瑞法科技开发有限公司 中国 询价快递  
+86 (28) 8263-3860
8263-3987
sales@biopurify.com
biopurify@gmail.com
QQ 交谈
Skype 聊天
化学品生产商
chemBlink 标准供应商 (2017年起)
Indofine Chemical Company, Inc. 美国 询价快递  
+1 (888) 463-6346
info@indofinechemical.com
化学品生产商 (1981年起)
苦艾素 A1供应商总目录
基本信息
英文名 Bacoside A1
产品名称 苦艾素 A1
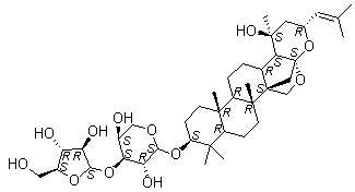
分子结构 CAS 登录号:58798-94-0, 苦艾素 A1
分子式 C40H64O12
分子量 736.94
CAS 登录号 58798-94-0
物理化学性质
溶解度 不溶 (7.4e-3 g/L) (25 ºC), 计算值*
密度 1.33±0.1 g/cm3 (20 ºC 760 torr), 计算值*
* 使用计算软件 Advanced Chemistry Development (ACD/Labs) V11.02 (©1994-2013 ACD/Labs)
市场分析报告
请浏览苦艾素 A1市场分析报告总目录
相关产品
杆菌肽 B1a  巴氯芬  (R)-巴氯芬  (R)-巴氯芬内酰胺  (-)-假马齿苋皂苷 C  假马齿苋皂苷 I  假马齿苋皂苷 II  假马齿苋皂苷 V  假马齿苋皂苷 VII  苦艾素 A2  假马齿苋皂素 A  白花猪母菜甙 A3  苦艾素  巴非替尼  巴佛洛霉素 A1  巴伐洛霉素 C1  黄芩素  黄芩素 6-O-beta-D-吡喃葡萄糖苷  黄芩甙  贝加灵水合物