Online Database of Chemicals from Around the World

马杜霉素
[CAS# 61991-54-6]

供应商目录
科邦特化工 (杭州) 有限公司 中国 询价快递  
+86 (571) 8558-6718
+86 13336195806
capotchem@gmail.com
sales@capotchem.com
QQ 交谈
化学品生产商
chemBlink 标准供应商 (2006年起)
合肥天健化工有限公司 中国 询价快递  
+86 (551) 6541-8684
sales@tnjchem.com
化学品生产商 (2001年起)
chemBlink 标准供应商 (2010年起)
Alfa Chemistry 美国 询价快递  
+1 (201) 478-8534
inquiry@alfa-chemistry.com
化学品供销商 (2012年起)
chemBlink 标准供应商 (2012年起)
马杜霉素供应商总目录
基本信息
产品分类 原料药 >> 抗寄生虫病药 >> 抗原虫药
英文名 Maduramicin
别名 (2R,3S,4S,5R,6S)-6-[(1R)-1-[(2S,5R,7S,8R,9S)-2-[(2S,2'R,3'S,5R,5'R)-3'-[(2,6-Dideoxy-3,4-di-O-methyl-b-L-arabino-hexopyranosyl)oxy]octahydro-2-methyl-5'-[(2S,3S,5R,6S)-tetrahydro-6-hydroxy-3,5,6-trimethyl-2H-pyran-2-yl][2,2'-bifuran]-5-yl]-9-hydroxy-2,8-dimethyl-1,6-dioxaspiro[4.5]dec-7-yl]ethyl]tetrahydro-2-hydroxy-4,5-dimethoxy-3-methyl-2H-pyran-2-acetic acid
产品名称 马杜霉素
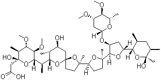
分子结构 CAS 登录号:61991-54-6, 马杜霉素
分子式 C47H80O17
分子量 917.14
CAS 登录号 61991-54-6
物理化学性质
熔点 305-310 ºC
市场分析报告
请浏览马杜霉素市场分析报告总目录
相关产品
大果桉醛 K  大果桉醛 L  大果桉醛 N  大果桉醛 N  Macrocliniside B  斑点弗林碱 2  马枯素 B  羟基积雪草苷  羟基积雪草甙  8-M-ADOT  马杜霉素铵盐  AE-活性酯  墨沙酮  高丽槐素  高丽槐素  马布洛芬  盐酸马布特罗  盐酸马布特罗  7beta-氨基-7alpha-甲氧基-3-(1-甲基-1H-四唑-5-硫甲基)-8-氧代-5-硫-1-杂氮双环[4.2.0]辛-2-烯-2-甲酸二苯基甲酯  MAC 13243