Online Database of Chemicals from Around the World

Pentaerythityl tetraisostearate
[CAS# 62125-22-8]

List of Suppliers
Alfa Chemistry USA Inquire  
+1 (201) 478-8534
inquiry@alfa-chemistry.com
Chemical distributor since 2012
chemBlink standard supplier since 2012
Complete supplier list of Pentaerythityl tetraisostearate
Identification
Name Pentaerythityl tetraisostearate
Synonyms 2,2-Bis[[(1-oxoisooctadecyl)oxy]methyl]-1,3-propanediyl bis(isooctadecanoate); Isooctadecanoic acid 2,2-bis[[(1-oxoisooctadecyl)oxy]methyl]-1,3-propanediyl ester
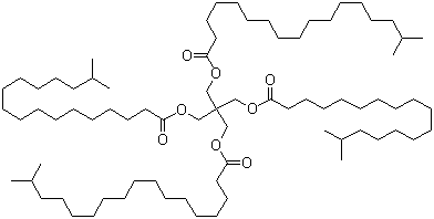
Molecular Structure CAS # 62125-22-8, Pentaerythityl tetraisostearate, 2,2-Bis[[(1-oxoisooctadecyl)oxy]methyl]-1,3-propanediyl bis(isooctadecanoate), Isooctadecanoic acid 2,2-bis[[(1-oxoisooctadecyl)oxy]methyl]-1,3-propanediyl ester
Molecular Formula C77H148O8
Molecular Weight 1202.02
CAS Registry Number 62125-22-8
EC Number 263-423-1
Market Analysis Reports
List of Reports Available for Pentaerythityl tetraisostearate
Related Products
Pentadeuterophenyl bromide  Pentadeuteropyridine  1,2-Pentadiene  1,4-Pentadiene  trans-1,3-Pentadiene  4,4'-(1,4-Pentadiene-1,5-diyl)bis[2-methoxyphenol]  (E)-2,4-Pentadienoic acid  1,4-Pentadien-3-ol  1,2-Pentadien-4-one  1,4-Pentadiyn-3-ol  Pentaerythritol  Pentaerythritol glycidyl ether  Pentaerythritol rosinate  Pentaerythritol tetraacetate  Pentaerythritol tetraacrylate  Pentaerythritol tetrakis(dihydrogen phosphate)  Pentaerythritol tetrakis(3-(3,5-di-tert-butyl-4-hydroxyphenyl)propionate)  Pentaerythritol tetrakis(2-mercaptoacetate)  Pentaerythritol tetrakis(3-mercaptobutyrate)  Pentaerythritol tetra(mercaptopropionate)