Online Database of Chemicals from Around the World

6-[2-[(2-氨基乙基)氨基]乙基氨基]-6-脱氧-beta-环糊精
[CAS# 65294-32-8]

供应商目录
上海拓克化学科技有限公司 中国 询价快递  
+86 (21) 3160-8287
+86 13776836200
info@tocopharm.com
QQ 交谈
化学品生产商 (2012年起)
chemBlink 标准供应商 (2009年起)
常州新星联生物科技有限公司 中国 询价快递  
+86 (519) 8555-7386
+86 18015025600
marketing1@neostarunited.com
化学品供销商 (2014年起)
chemBlink 标准供应商 (2020年起)
6-[2-[(2-氨基乙基)氨基]乙基氨基]-6-脱氧-beta-环糊精供应商总目录
基本信息
英文名 6-[2-[(2-Aminoethyl)amino]ethylamino]-6-deoxy-beta-cyclodextrin
产品名称 6-[2-[(2-氨基乙基)氨基]乙基氨基]-6-脱氧-beta-环糊精
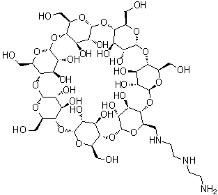
分子结构 CAS 登录号:65294-32-8, 6-[2-[(2-氨基乙基)氨基]乙基氨基]-6-脱氧-beta-环糊精
分子式 C46H81N3O34
分子量 1220.14
CAS 登录号 65294-32-8
物理化学性质
密度 1.547±0.06 g/cm3 (20 ºC 760 torr), 计算值*
* 使用计算软件 Advanced Chemistry Development (ACD/Labs) V11.02 (©1994-2017 ACD/Labs)
市场分析报告
请浏览6-[2-[(2-氨基乙基)氨基]乙基氨基]-6-脱氧-beta-环糊精市场分析报告总目录
相关产品
4-氨基-6-乙氧基-2-吡啶甲酸甲酯  (2-氨基乙氧基)(叔丁基)二甲基硅烷  N-(2-氨基乙基)丙烯酰胺盐酸盐  2-(2-氨基乙基)金刚烷  1-氨基-3-乙基金刚烷  1-氨基-3-乙基金刚烷盐酸盐  4-[(2-氨基乙基)氨基]苯乙酸乙酯  [6-(2-氨基乙基氨基)-6-脱氧]-beta-环糊精  (3S)-(4R,5S)-5-[(2-氨基乙基)氨基]-N2-[(10R,12S)-10,12-二甲基-1-氧代十四烷基]-4-羟基-L-鸟氨酰-L-丝氨酰-(4R)-4-羟基-L-脯氨酰-(4S)-4-羟基-4-(4-羟基苯基)-L-苏氨酰-(3R)-3-羟基-L-鸟氨酰-3-羟基-L-脯氨酸(6→15)-内酰胺  羟乙基乙二胺  N-(2-羟乙基)二乙撑三胺  6A-[[2-[[2-[(2-氨基乙基)氨基]乙基]氨基]乙基]氨基]-6A-脱氧-beta-环糊精  N-(2-氨基乙基)-N'-[2-[(2-氨基乙基)氨基]乙基]-1,2-乙二胺单叔癸酸盐  二乙烯三胺基丙基三甲氧基硅烷  (3S)-10-[(2-氨基乙基)氨基]-9-氟-2,3-二氢-3-甲基-7-氧代-7H-吡啶并[1,2,3-de]-1,4-苯并恶嗪-6-羧酸  4-氨基-2-[(乙基氨基)甲基]-alpha,alpha-二甲基-1H-咪唑并[4,5-c]喹啉-1-乙醇  [[(2-氨基乙基)氨基]甲基]三乙氧基硅烷  5-(2-氨基乙基氨基)-1-萘磺酸  5-(2-氨基乙基氨基)-1-萘磺酸钠盐  N-[4-[2-[[4-[2-[(2-氨基乙基)氨基]-2-氧代乙基]苯基]氨基]-2-氧代乙基]苯基]腺苷