Online Database of Chemicals from Around the World

Ophiopogonin C
[CAS# 65586-25-6]

List of Suppliers
Chengdu Biopurify Phytochemicals Ltd. China Inquire  
+86 (28) 8263-3860
8263-3987
sales@biopurify.com
biopurify@gmail.com
Skype Chat
QQ chat
Chemical manufacturer
chemBlink standard supplier since 2017
Indofine Chemical Company, Inc. USA Inquire  
+1 (888) 463-6346
info@indofinechemical.com
Chemical manufacturer since 1981
Complete supplier list of Ophiopogonin C
Identification
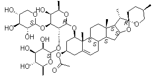
Name Ophiopogonin C
Molecular Structure CAS # 65586-25-6, Ophiopogonin C
Molecular Formula C46H72O17
Molecular Weight 897.05
CAS Registry Number 65586-25-6
Market Analysis Reports
List of Reports Available for Ophiopogonin C
Related Products
OO-tert-Butyl O-isopropyl peroxycarbonate  OO-tert-Butyl monoperoxyphthalate  OP 1118  Ophiopogonanone A  Ophiopogonanone B  Ophiopogonanone C  Ophiopogonanone E  Ophiopogonanone F  Ophiopogonin A  Ophiopogonin B  Ophiopogonin D'  Ophiopogonin D  Ophiopogonoside A  Ophiopogoside A  Ophiopojaponin A  Ophthazin  Opicapone  Opipramol  Opium