Online Database of Chemicals from Around the World

Dimyristoyl phosphatidylglycerole sodium salt
[CAS# 67232-80-8]

List of Suppliers
Shanghai Advanced Viecle Technology Co., Ltd. China Inquire  
+86 (21) 6139-1729
400-6262-623
nelson@avt-cn.com
Chemical distributor
chemBlink standard supplier since 2010
BOC Sciences USA Inquire  
+1 (631) 485-4226
info@bocsci.com
Chemical manufacturer
chemBlink standard supplier since 2010
Qingdao Finechem Chemical Co., Ltd. China Inquire  
+86 (532) 8573-8865
+86 13505321808
sales@qdfinechem.com
QQ chat
Chemical manufacturer since 2009
chemBlink standard supplier since 2010
Complete supplier list of Dimyristoyl phosphatidylglycerole sodium salt
Identification
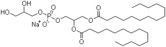
Name Dimyristoyl phosphatidylglycerole sodium salt
Synonyms 1,2-Dimyristoyl-sn-glycero-3-phospho-rac-(1-glycerol) sodium salt
Molecular Structure CAS # 67232-80-8, Dimyristoyl phosphatidylglycerole sodium salt, 1,2-Dimyristoyl-sn-glycero-3-phospho-rac-(1-glycerol) sodium salt
Molecular Formula C34H66O10P.Na
Molecular Weight 688.84
CAS Registry Number 67232-80-8
Safety Data
SDS Available
Market Analysis Reports
List of Reports Available for Dimyristoyl phosphatidylglycerole sodium salt
Related Products
Dimezone S  Dimidium bromide  Diminazene  2,2-Dimorpholinodiethylether  N,N'-Dimorpholinomethane  4,6-Di-4-morpholinyl-N-(4-nitrophenyl)-1,3,5-triazin-2-amine  2,6-Di-4-morpholinyl-3-pyridinamine  5-(4,6-Di-4-morpholinyl-1,3,5-triazin-2-yl)-4-(trifluoromethyl)-2-pyridinamine  Dimyristoyl phosphatidylcholine  Dimyristoylphosphatidylglycerol  Dimyristoyl phosphoethanolamine  1,2-Dimyristoyl-sn-glycero-3-phospho-(1'-rac-glycerol) sodium salt  1,2-Dimyristoyl-sn-glycero-3-[phospho-L-serine] sodium salt  Dimyristyl peroxydicarbonate  2-(4-(9,10-Di(naphthalen-2-yl)anthracen-2-yl)phenyl)-1-phenyl-1H-benzo[d]imidazole  2-(9,10-Di-2-naphthalenyl-2-anthracenyl)-4,4,5,5-tetramethyl-1,3,2-dioxaborolane  Di-1-naphthalenylarsinous bromide  N1,N4-Di-1-naphthalenyl-1,4-benzenediamine  N4,N4'-Di-1-naphthalenyl-N4,N4'-di-2-naphthalenyl-[1,1'-biphenyl]-4,4'-diamine  N,N'-Di-2-naphthalenyl-N,N'-diphenyl-1,4-benzenediamine