Online Database of Chemicals from Around the World
3,6,9,12,15,18,21,24,27,30-Decaoxadotriacontane-1,32-diol
[CAS# 6809-70-7]
Complete supplier list of 3,6,9,12,15,18,21,24,27,30-Decaoxadotriacontane-1,32-diol
|
Identification
| Name |
3,6,9,12,15,18,21,24,27,30-Decaoxadotriacontane-1,32-diol |
| Synonyms |
Undecaethylene glycol |
|
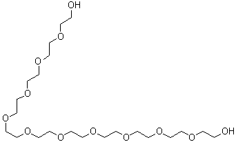
| Molecular Structure |
 |
| Molecular Formula |
C22H46O12 |
| Molecular Weight |
502.59 |
| CAS Registry Number |
6809-70-7 |
| EC Number |
229-884-8 |
|
Properties
| Solubility |
Very soluble (1000 g/L) (25 ºC), Calc.* |
| Density |
1.116±0.06 g/cm3 (20 ºC 760 Torr), Calc.* |
|
|
*
|
Calculated using Advanced Chemistry Development (ACD/Labs) Software V11.02 (©1994-2016 ACD/Labs)
|
|
| Market Analysis Reports |
|
List of Reports Available for 3,6,9,12,15,18,21,24,27,30-Decaoxadotriacontane-1,32-diol
|
|
Related Products
5-Decanolide 3-Decanone 2-Decanone Decanoyl- and octanoyl glycerides Decanoyl chloride N-Decanoyl-N-(2-hydroxyethyl)glucamine N-Decanoylmorpholine Decanoyl/octanoyl-glycerides (R)-3-(Decanoyloxy)tetradecanoic acid 3,6,9,12,15,18,21,24,27,30-Decaoxadotriacontane-1,32-diamine 2,5,8,11,14,17,20,23,26,29-Decaoxahentriacontane-31-thiol 3,6,9,12,15,18,21,24,27,30-Decaoxahentriacontanoic acid 3,8,15,20,27,32,39,44,51,56-Decaoxahexacyclo[56.2.2.23,8,15,20,27,32,39,44,51,56-Decaoxahexacyclo[56.2.2.2(10,13).2(22,25).2(34,37).2(46,49)]heptaconta-10,11,12,22,23,24,34,35,36,46,47,48,58,60,61-pentadecaene-2,9,14,21,26,33,38,45,50,57-decone Decarboxyl ofloxacin 1-Decarboxy-3-oxo-ceanothic acid Decarine Decatol Decamethylcyclopentasiloxane Decamethylferrocenium hexafluorophosphate Decamethylnickelocene