Online Database of Chemicals from Around the World

beta-D-呋喃果糖基 O-beta-D-吡喃半乳糖基-(1→3)-alpha-D-吡喃葡萄糖苷
[CAS# 686717-73-7]

基本信息
英文名 beta-D-Fructofuranosyl O-beta-D-galactopyranosyl-(1→3)-alpha-D-glucopyranoside
产品名称 beta-D-呋喃果糖基 O-beta-D-吡喃半乳糖基-(1→3)-alpha-D-吡喃葡萄糖苷
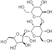
分子结构 CAS 登录号:686717-73-7, beta-D-呋喃果糖基 O-beta-D-吡喃半乳糖基-(1→3)-alpha-D-吡喃葡萄糖苷
分子式 C18H32O16
分子量 504.44
CAS 登录号 686717-73-7
物理化学性质
溶解度 溶解 (34 g/L) (25 ºC), 计算值*
密度 1.81±0.1 g/cm3 (20 ºC 760 torr), 计算值*
* 使用计算软件 Advanced Chemistry Development (ACD/Labs) V11.02 (©1994-2016 ACD/Labs)
市场分析报告
请浏览beta-D-呋喃果糖基 O-beta-D-吡喃半乳糖基-(1→3)-alpha-D-吡喃葡萄糖苷市场分析报告总目录
相关产品
夫罗曲普坦琥珀酸盐水合物  alpha-D-呋喃果糖 1,3,4,6-四苯甲酸酯  beta-呋喃果糖苷酶  O-beta-D-呋喃果糖基-(2→1)-O-beta-D-呋喃果糖基-(2→1)-O-beta-D-呋喃果糖基-(2→1)-O-beta-D-呋喃果糖基-(2→1)-O-beta-D-呋喃果糖基-(2→1)-O-beta-D-呋喃果糖基-(2→1)-O-beta-D-呋喃果糖基-(2→1)-O-beta-D-呋喃果糖基-(2→1)-beta-D-呋喃果糖基 alpha-D-吡喃葡萄糖苷  O-beta-D-呋喃果糖基-(2→1)-O-beta-D-呋喃果糖基-(2→1)-O-beta-D-呋喃果糖基-(2→1)-O-beta-D-呋喃果糖基-(2→1)-O-beta-D-呋喃果糖基-(2→1)-O-beta-D-呋喃果糖基-(2→1)-O-beta-D-呋喃果糖基-(2→1)-beta-D-呋喃果糖基 alpha-D-吡喃葡萄糖苷  O-beta-D-呋喃果糖基-(2→1)-O-beta-D-呋喃果糖基-(2→1)-O-beta-D-呋喃果糖基-(2→1)-O-beta-D-呋喃果糖基-(2→1)-O-beta-D-呋喃果糖基-(2→1)-O-beta-D-呋喃果糖基-(2→1)-beta-D-呋喃果糖基 alpha-D-吡喃葡萄糖苷  O-beta-D-呋喃果糖基-(2→6)-beta-D-呋喃果糖基 alpha-D-吡喃葡萄糖苷  [O-beta-D-呋喃果糖基-(2→1)]9-beta-D-呋喃果糖基 alpha-D-吡喃葡萄糖苷  [O-beta-D-呋喃果糖基-(2→1)]10-O-beta-D-呋喃果糖基 alpha-D-吡喃葡萄糖苷  beta-D-呋喃果糖基 O-beta-D-吡喃半乳糖基-(1→2)-alpha-D-吡喃葡萄糖苷  beta-D-呋喃果糖基 alpha-D-吡喃葡萄糖苷烯丙基醚  beta-D-呋喃果糖基 alpha-D-吡喃葡萄糖苷棕榈酸和硬脂酸混合酯  O-beta-D-呋喃果糖基-(2→6)-alpha-D-吡喃葡萄糖基呋喃果糖苷  苹果酯  低聚果糖  果糖  beta-D-吡喃果糖 1-氨基磺酸酯  D-(-)-果糖  DL-果糖  L-果糖