Online Database of Chemicals from Around the World

8-异氰基-2,2,14,14-四甲基-8-(4-甲苯基磺酰基)十五烷二酸二乙酯
[CAS# 738606-44-5]

供应商目录
常州卡博化工有限公司 中国 询价快递  
+86 (519) 8918-1862
+86 13775204319
gao@carbo-chem.com
QQ 交谈
化学品生产商 (2009年起)
chemBlink 标准供应商 (2010年起)
8-异氰基-2,2,14,14-四甲基-8-(4-甲苯基磺酰基)十五烷二酸二乙酯供应商总目录
基本信息
英文名 8-Isocyano-2,2,14,14-tetramethyl-8-(4-tolylsulfonyl)pentadecanedioic acid diethyl ester
别名 8-Isocyano-2,2,14,14-Tetramethyl-8-(p-tosyl)pentadecanedioic acid diethyl ester
产品名称 8-异氰基-2,2,14,14-四甲基-8-(4-甲苯基磺酰基)十五烷二酸二乙酯
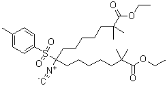
分子结构 CAS 登录号:738606-44-5, 8-异氰基-2,2,14,14-四甲基-8-(4-甲苯基磺酰基)十五烷二酸二乙酯
分子式 C31H49NO6S
分子量 563.79
CAS 登录号 738606-44-5
EC 号码 879-454-4
安全数据
危害分类
up    说明
危害分类类别码危害标签
对水生环境长期有害Aquatic Chronic4H413
市场分析报告
请浏览8-异氰基-2,2,14,14-四甲基-8-(4-甲苯基磺酰基)十五烷二酸二乙酯市场分析报告总目录
相关产品
2-异氰基-1,3-二甲基苯  4-异氰基-1,2-二甲基苯  alpha-甲基苄基异腈  3-(2-异氰基乙基)-1H-吲哚  1-(2-异氰基乙基)-4-甲氧基苯  5-异氰基-1H-吲哚  2-异腈甲基吡啶  1-[(异氰基甲基-14C)磺酰基]-4-甲基苯  2-异氰萘  4-(3-异氰基丙基)吗啉  1-异氰基-3-(三氟甲氧基)苯  二氯异氰脲酸  异环柠檬醛  (±)-异圆弧菌素  异构环孢菌素 A  异环孢菌素H  异胞苷三磷酸酯  异胞嘧啶  (异癸酸)(异辛酸)钴  (异癸酸-O)(异辛酸-O)铁