Online Database of Chemicals from Around the World

O-(N-Acetyl-alpha-neuraminosyl)-(2→8)-O-(N-acetyl-alpha-neuraminosyl)-(2→3)-O-[O-(N-acetyl-alpha-neuraminosyl)-(2→3)-O-beta-D-galactopyranosyl-(1→3)-2-(acetylamino)-2-deoxy-beta-D-galactopyranosyl-(1→4)]-O-beta-D-galactopyranosyl-(1→4)-D-glucose
[CAS# 75663-36-4]

Identification
Name O-(N-Acetyl-alpha-neuraminosyl)-(2→8)-O-(N-acetyl-alpha-neuraminosyl)-(2→3)-O-[O-(N-acetyl-alpha-neuraminosyl)-(2→3)-O-beta-D-galactopyranosyl-(1→3)-2-(acetylamino)-2-deoxy-beta-D-galactopyranosyl-(1→4)]-O-beta-D-galactopyranosyl-(1→4)-D-glucose
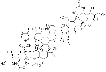
Molecular Structure CAS # 75663-36-4, O-(N-Acetyl-alpha-neuraminosyl)-(2→8)-O-(N-acetyl-alpha-neuraminosyl)-(2→3)-O-[O-(N-acetyl-alpha-neuraminosyl)-(2→3)-O-beta-D-galactopyranosyl-(1→3)-2-(acetylamino)-2-deoxy-beta-D-galactopyranosyl-(1→4)]-O-beta-D-galactopyranosyl-(1→4)-D-glucose
Molecular Formula C59H96N4O45
Molecular Weight 1581.39
CAS Registry Number 75663-36-4
Properties
Density 1.77±0.1 g/cm3 (20 ºC 760 Torr), Calc.*
* Calculated using Advanced Chemistry Development (ACD/Labs) Software V11.02 (©1994-2016 ACD/Labs)
Market Analysis Reports
List of Reports Available for O-(N-Acetyl-alpha-neuraminosyl)-(2→8)-O-(N-acetyl-alpha-neuraminosyl)-(2→3)-O-[O-(N-acetyl-alpha-neuraminosyl)-(2→3)-O-beta-D-galactopyranosyl-(1→3)-2-(acetylamino)-2-deoxy-beta-D-galactopyranosyl-(1→4)]-O-beta-D-galactopyranosyl-(1→4)-D-glucose
Related Products
N-(N-Acetylmuramoyl)-L-threonyl-D-alpha-glutamine  4-Acetylnaphthalene-1-carboxylic acid  N-Acetyl-3-(2-naphthalenyl)-D-alanyl-4-chloro-D-phenylalanyl-3-(3-pyridinyl)-D-alanyl-L-seryl-N-methyl-L-tyrosyl-N6-(aminocarbonyl)-D-lysyl-L-norleucyl-L-arginyl-L-prolyl-D-alaninamide acetate  6-Acetyl-2-naphthol  (S)-N-Acetyl-2-naphthylalanine  (R)-N-Acetyl-2-naphthylalanine  8-Acetylneosolaniol  N-Acetylneuraminic acid  N-Acetyl-alpha-neuraminic acid 7-acetate 2-(hydrogen 5'-cytidylate)  N-Acetylneuraminic acid methyl ester  O-(N-Acetyl-alpha-neuraminosyl)-(2→3)-O-[O-(N-acetyl-alpha-neuraminosyl)-(2→3)-O-beta-D-galactopyranosyl-(1→3)-2-(acetylamino)-2-deoxy-beta-D-galactopyranosyl-(1→4)]-O-beta-D-galactopyranosyl-(1→4)-D-glucose  O-(N-Acetyl-alpha-neuraminosyl)-(2→6)-O-[O-6-deoxy-alpha-L-galactopyranosyl-(1→2)-beta-D-galactopyranosyl-(1→3)]-O-2-(acetylamino)-2-deoxy-beta-D-glucopyranosyl-(1→3)-O-beta-D-galactopyranosyl-(1→4)-D-glucose  O-(N-Acetyl-alpha-neuraminosyl)-(2→6)-O-beta-D-galactopyranosyl-(1→4)-2-(acetylamino)-2-deoxy-D-galactose  O-(N-Acetyl-alpha-neuraminosyl)-(2→6)-O-beta-D-galactopyranosyl-(1→4)-O-2-(acetylamino)-2-deoxy-beta-D-glucopyranosyl-(1→2)-O-alpha-D-mannopyranosyl-(1→3)-O-[O-(N-acetyl-alpha-neuraminosyl)-(2→6)-O-beta-D-galactopyranosyl-(1→4)-O-2-(acetylamino)-2-deoxy-beta-D-glucopyranosyl-(1→2)-alpha-D-mannopyranosyl-(1→6)]-O-beta-D-mannopyranosyl-(1→4)-O-2-(acetylamino)-2-deoxy-beta-D-glucopyranosyl-(1→4)-2-(acetylamino)-2-deoxy-D-glucose  (3aS,4S,6aR)-N-[6-[[3-[[O-(N-Acetyl-alpha-neuraminosyl)-(2→6)-O-beta-D-galactopyranosyl-(1→4)-2-(acetylamino)-2-deoxy-beta-D-glucopyranosyl]oxy]propyl]amino]-6-oxohexyl]hexahydro-2-oxo-1H-thieno[3,4-d]imidazole-4-pentanamide  (3aS,4S,6aR)-N-[6-[[3-[[O-(N-Acetyl-alpha-neuraminosyl)-(2→3)-O-beta-D-galactopyranosyl-(1→3)-2-(acetylamino)-2-deoxy-D-glucopyranosyl]oxy]propyl]amino]-6-oxohexyl]hexahydro-2-oxo-1H-thieno[3,4-d]imidazole-4-pentanamide  (3aS,4S,6aR)-N-[6-[[3-[[O-(N-Acetyl-alpha-neuraminosyl)-(2→3)-O-alpha-D-galactopyranosyl-(1→3)-O-[6-deoxy-alpha-L-galactopyranosyl-(1→4)]-2-(acetylamino)-2-deoxy-beta-D-glucopyranosyl]oxy]propyl]amino]-6-oxohexyl]hexahydro-2-oxo-1H-thieno[3,4-d]imidazole-4-pentanamide  [3aS-(3aalpha,4beta,6aalpha)]-N-[6-[[O-(N-Acetyl-alpha-neuraminosyl)-(2→3)-O-beta-D-galactopyranosyl-(1→4)-D-glucopyranosyl]amino]-6-oxohexyl]hexahydro-2-oxo-1H-thieno[3,4-d]imidazole-4-pentanamide  (2-Acetyl-4-methylpentyl)trimethylammonium iodide  2-Acetyl-6-methylphenol