| 厦门志信化学有限公司 | 中国 | 询价快递 | ||
|---|---|---|---|---|
![]() |
+86 13806087780 | |||
![]() |
sale@simagchem.com | |||
| 化学品生产商 (2002年起) | ||||
| chemBlink 标准供应商 (2008年起) | ||||
| 合肥天健化工有限公司 | 中国 | 询价快递 | ||
|---|---|---|---|---|
![]() |
+86 (551) 6541-8684 | |||
![]() |
sales@tnjchem.com | |||
| 化学品生产商 (2001年起) | ||||
| chemBlink 标准供应商 (2010年起) | ||||
| BOC Sciences | 美国 | 询价快递 | ||
|---|---|---|---|---|
![]() |
+1 (631) 485-4226 | |||
![]() |
info@bocsci.com | |||
| 化学品生产商 | ||||
| chemBlink 标准供应商 (2010年起) | ||||
| AK Scientific, Inc | 美国 | 询价快递 | ||
|---|---|---|---|---|
![]() |
+1 (510) 429-8835 | |||
![]() |
sales@aksci.com | |||
| 化学品生产商 | ||||
| 产品分类 | 化学农药原药 >> 杀菌剂 |
|---|---|
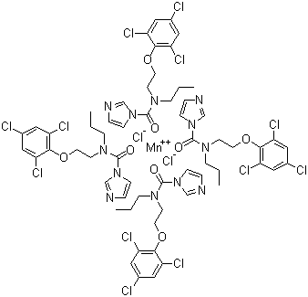
| 英文名 | Prochloraz manganese |
| 别名 | Dichlorotetrakis(N-propyl-N-(2-(2,4,6-trichlorophenoxy)ethyl)-1H-imidazole-1-carboxamide)manganese |
| 产品名称 | 咪鲜胺锰盐 |
| 分子结构 | ![]() |
| 分子式 | C60H64Cl14MnN12O8 |
| 分子量 | 1632.51 |
| CAS 登录号 | 75747-77-2 |
| EC 号码 | 278-301-3 |
| 危害分类 | |||||||||||||||||||||
|---|---|---|---|---|---|---|---|---|---|---|---|---|---|---|---|---|---|---|---|---|---|
| |||||||||||||||||||||
| 市场分析报告 |
| 请浏览咪鲜胺锰盐市场分析报告总目录 |