Online Database of Chemicals from Around the World

辛酰两性基二乙酸二钠盐
[CAS# 7702-01-4]

供应商目录
Alfa Chemistry 美国 询价快递  
+1 (201) 478-8534
inquiry@alfa-chemistry.com
化学品供销商 (2012年起)
chemBlink 标准供应商 (2012年起)
辛酰两性基二乙酸二钠盐供应商总目录
基本信息
英文名 Disodium capryloamphodiacetate
别名 1-[2-(Carboxymethoxy)ethyl]-1-(carboxymethyl)-2-heptyl-4,5-dihydro-1H-imidazolium hydroxide disodium salt; Mackam 2CY75; Miranol J 2M
产品名称 辛酰两性基二乙酸二钠盐
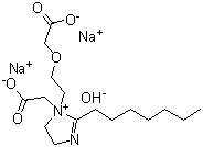
分子结构 CAS 登录号:7702-01-4, 辛酰两性基二乙酸二钠盐
分子式 C16H27N2O5.OH.Na2
分子量 390.38
CAS 登录号 7702-01-4
EC 号码 231-721-0
市场分析报告
请浏览辛酰两性基二乙酸二钠盐市场分析报告总目录
相关产品
地司特泰  [[5-(2,4-二氧代嘧啶-1-基)-3,4-二羟基四氢呋喃-2-基]甲氧基-氧代磷酰](3,4,5-三羟基四氢吡喃-2-基)磷酸二钠  5'-腺嘌呤核苷酸二钠盐  1-氨基-4-(4-氨基-3-磺基苯胺基)蒽醌-2-磺酸二钠盐  2-萘胺-3,6-二磺酸钠盐  8-氨基萘-1,3,6-三磺酸二钠盐  二钠2-氨基戊二酸酯  二钠浴酮灵二磺酸酯  胆红素二钠盐  2-羟基丙烷丁炔二醚-3-磺酸钠  3,3'-羰基双(4-羟基-6-甲氧基苯磺酸)二钠  猩红酸钠盐  [1-[(5-氯-2-羟基苯基)偶氮]-2-萘酚][4-羟基-3-[(2-羟基-5-硝基苯基)偶氮]-7-[(1-氧代-2-丙烯基)氨基]-2-萘磺酸基]铬酸二钠盐  柠檬酸二钠盐  氯屈膦酸二钠(四水合物)  椰油酰两性基二乙酸二钠  反式-藏红花酸二钠  [2,4-二氢-4-[(2-羟基-5-硝基苯基)偶氮]-5-甲基-2-苯基-3H-吡唑-3-酮][3-羟基-4-[(2-羟基-1-萘基)偶氮]-7-硝基-1-萘磺酸]铬酸二钠盐  [2,4-二氢-4-[(2-羟基-5-硝基苯基)偶氮]-5-甲基-2-苯基-3H-吡唑-3-酮(2-)][4-羟基-3-[(2-羟基-5-硝基苯基)偶氮]-6-[(1-氧代-2-丙烯基)氨基]-2-萘磺酸基]铬酸二钠  5-巯基-1,2,3,4-四氮唑-1-甲基磺酸双钠盐