Online Database of Chemicals from Around the World

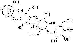
O-beta-D-Glucopyranosyl-(1→4)-O-beta-D-glucopyranosyl-(1→4)-O-beta-D-glucopyranosyl-(1→4)-1,6-anhydro-beta-D-glucopyranose
[CAS# 80325-59-3]

Identification
Name O-beta-D-Glucopyranosyl-(1→4)-O-beta-D-glucopyranosyl-(1→4)-O-beta-D-glucopyranosyl-(1→4)-1,6-anhydro-beta-D-glucopyranose
Molecular Structure CAS # 80325-59-3, O-beta-D-Glucopyranosyl-(1→4)-O-beta-D-glucopyranosyl-(1→4)-O-beta-D-glucopyranosyl-(1→4)-1,6-anhydro-beta-D-glucopyranose
Molecular Formula C24H40O20
Molecular Weight 648.56
CAS Registry Number 80325-59-3
Properties
Solubility Soluble (53 g/L) (25 ºC), Calc.*
Density 1.82±0.1 g/cm3 (20 ºC 760 Torr), Calc.*
* Calculated using Advanced Chemistry Development (ACD/Labs) Software V11.02 (©1994-2016 ACD/Labs)
Market Analysis Reports
List of Reports Available for O-beta-D-Glucopyranosyl-(1→4)-O-beta-D-glucopyranosyl-(1→4)-O-beta-D-glucopyranosyl-(1→4)-1,6-anhydro-beta-D-glucopyranose
Related Products
4-O-alpha-D-Glucopyranosyl-alpha-D-glucopyranose 1-(dihydrogen phosphate) dipotassium salt  O-beta-D-Glucopyranosyl-(1→4)-O-beta-D-glucopyranosyl-(1→4)-1,6-anhydro-beta-D-glucopyranose  4-O-beta-D-Glucopyranosyl-beta-D-glucopyranosyl azide  4-O-alpha-D-Glucopyranosyl-beta-D-glucopyranosyl azide  1-(4-O-beta-D-Glucopyranosyl-beta-D-glucopyranosyl)cytosine monohydrochloride  6-(2-O-beta-D-Glucopyranosyl-beta-D-glucopyranosyl)-5,7-dihydroxy-2-(4-hydroxy-3-methoxyphenyl)-4H-1-benzopyran-4-one  8-(4-O-beta-D-Glucopyranosyl-beta-D-glucopyranosyl)-5,7-dihydroxy-2-(4-hydroxyphenyl)-4H-1-benzopyran-4-one  4-O-beta-D-Glucopyranosyl-alpha-D-glucopyranosyl fluoride  O-beta-D-Glucopyranosyl-(1→4)-O-beta-D-glucopyranosyl-(1→3)-beta-D-glucopyranose  O-beta-D-Glucopyranosyl-(1→3)-O-beta-D-glucopyranosyl-(1→4)-beta-D-glucopyranose  alpha-D-Glucopyranosyl O-alpha-D-glucopyranosyl-(1→4)-O-alpha-D-glucopyranosyl-(1→4)-alpha-D-glucopyranoside  O-beta-D-Glucopyranosyl-(1→4)-O-beta-D-glucopyranosyl-(1→4)-O-beta-D-glucopyranosyl-(1→4)-O-beta-D-glucopyranosyl-(1→4)-1,6-anhydro-beta-D-glucopyranose  7-[(O-beta-D-Glucopyranosyl-(1→4)-O-beta-D-glucopyranosyl-(1→4)-O-beta-D-glucopyranosyl-(1→4)-O-beta-D-glucopyranosyl-(1→4)-O-beta-D-glucopyranosyl-(1→4)-beta-D-glucopyranosyl)oxy]-4-methyl-2H-1-benzopyran-2-one  O-alpha-D-Glucopyranosyl-(1→2)-O-alpha-D-glucopyranosyl-(1→2)-O-alpha-D-glucopyranosyl-(1→2)-O-alpha-D-glucopyranosyl-(1→2)-D-glucose  O-alpha-D-Glucopyranosyl-(1→2)-O-alpha-D-glucopyranosyl-(1→2)-O-alpha-D-glucopyranosyl-(1→2)-D-glucose  O-beta-D-Glucopyranosyl-(1→3)-O-beta-D-glucopyranosyl-(1→4)-O-beta-D-glucopyranosyl-(1→4)-D-glucose  O-beta-D-Glucopyranosyl-(1→4)-O-beta-D-glucopyranosyl-(1→3)-O-beta-D-glucopyranosyl-(1→4)-D-glucose  (4alpha)-13-[(O-beta-D-Glucopyranosyl-(1→2)-O-[beta-D-glucopyranosyl-(1→3)]-beta-D-glucopyranosyl)oxy]-kaur-15-en-18-oic acid beta-D-glucopyranosyl ester  7-[(O-beta-D-Glucopyranosyl-(1→6)-O-beta-D-glucopyranosyl-(1→6)-beta-D-glucopyranosyl)oxy]-4-methyl-2H-1-benzopyran-2-one  7-[(O-beta-D-Glucopyranosyl-(1→4)-O-beta-D-glucopyranosyl-(1→4)-beta-D-glucopyranosyl)oxy]-4-(trifluoromethyl)-2H-1-benzopyran-2-one