Online Database of Chemicals from Around the World

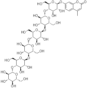
7-[(O-beta-D-吡喃葡萄糖基-(1→4)-O-beta-D-吡喃葡萄糖基-(1→4)-O-beta-D-吡喃葡萄糖基-(1→4)-O-beta-D-吡喃葡萄糖基-(1→4)-O-beta-D-吡喃葡萄糖基-(1→4)-beta-D-吡喃葡萄糖基)氧基]-4-甲基-2H-1-苯并吡喃-2-酮
[CAS# 84325-21-3]

基本信息
英文名 7-[(O-beta-D-Glucopyranosyl-(1→4)-O-beta-D-glucopyranosyl-(1→4)-O-beta-D-glucopyranosyl-(1→4)-O-beta-D-glucopyranosyl-(1→4)-O-beta-D-glucopyranosyl-(1→4)-beta-D-glucopyranosyl)oxy]-4-methyl-2H-1-benzopyran-2-one
产品名称 7-[(O-beta-D-吡喃葡萄糖基-(1→4)-O-beta-D-吡喃葡萄糖基-(1→4)-O-beta-D-吡喃葡萄糖基-(1→4)-O-beta-D-吡喃葡萄糖基-(1→4)-O-beta-D-吡喃葡萄糖基-(1→4)-beta-D-吡喃葡萄糖基)氧基]-4-甲基-2H-1-苯并吡喃-2-酮
分子结构 CAS 登录号:84325-21-3, 7-[(O-beta-D-吡喃葡萄糖基-(1→4)-O-beta-D-吡喃葡萄糖基-(1→4)-O-beta-D-吡喃葡萄糖基-(1→4)-O-beta-D-吡喃葡萄糖基-(1→4)-O-beta-D-吡喃葡萄糖基-(1→4)-beta-D-吡喃葡萄糖基)氧基]-4-甲基-2H-1-苯并吡喃-2-酮
分子式 C46H68O33
分子量 1149.01
CAS 登录号 84325-21-3
物理化学性质
溶解度 微溶 (5.9 g/L) (25 ºC), 计算值*
密度 1.80±0.1 g/cm3 (20 ºC 760 torr), 计算值*
* 使用计算软件 Advanced Chemistry Development (ACD/Labs) V11.02 (©1994-2016 ACD/Labs)
市场分析报告
请浏览7-[(O-beta-D-吡喃葡萄糖基-(1→4)-O-beta-D-吡喃葡萄糖基-(1→4)-O-beta-D-吡喃葡萄糖基-(1→4)-O-beta-D-吡喃葡萄糖基-(1→4)-O-beta-D-吡喃葡萄糖基-(1→4)-beta-D-吡喃葡萄糖基)氧基]-4-甲基-2H-1-苯并吡喃-2-酮市场分析报告总目录
相关产品
4-O-alpha-D-吡喃葡萄糖基-beta-D-吡喃葡萄糖基叠氮化物  1-(4-O-beta-D-吡喃葡萄糖基-beta-D-吡喃葡萄糖基)胞嘧啶单盐酸盐  6-(2-O-beta-D-吡喃葡萄糖基-beta-D-吡喃葡萄糖基)-5,7-二羟基-2-(4-羟基-3-甲氧基苯基)-4H-1-苯并吡喃-4-酮  8-(4-O-beta-D-吡喃葡萄糖基-beta-D-吡喃葡萄糖基)-5,7-二羟基-2-(4-羟基苯基)-4H-1-苯并吡喃-4-酮  4-O-beta-D-吡喃葡萄糖基-alpha-D-吡喃葡萄糖基氟化物  O-beta-D-吡喃葡萄糖基-(1→4)-O-beta-D-吡喃葡萄糖基-(1→3)-beta-D-吡喃葡萄糖  O-beta-D-吡喃葡萄糖基-(1→3)-O-beta-D-吡喃葡萄糖基-(1→4)-beta-D-吡喃葡萄糖  O-beta-D-吡喃葡萄糖基-(1→4)-O-beta-D-吡喃葡萄糖基-(1→4)-O-beta-D-吡喃葡萄糖基-(1→4)-1,6-脱水-beta-D-吡喃葡萄糖  alpha-D-吡喃葡萄糖基 O-alpha-D-吡喃葡萄糖基-(1→4)-O-alpha-D-吡喃葡萄糖基-(1→4)-alpha-D-吡喃葡萄糖苷  O-beta-D-吡喃葡萄糖基-(1→4)-O-beta-D-吡喃葡萄糖基-(1→4)-O-beta-D-吡喃葡萄糖基-(1→4)-O-beta-D-吡喃葡萄糖基-(1→4)-1,6-脱水-beta-D-吡喃葡萄糖  O-alpha-D-吡喃葡萄糖基-(1→2)-O-alpha-D-吡喃葡萄糖基-(1→2)-O-alpha-D-吡喃葡萄糖基-(1→2)-O-alpha-D-吡喃葡萄糖基-(1→2)-D-葡萄糖  O-alpha-D-吡喃葡萄糖基-(1→2)-O-alpha-D-吡喃葡萄糖基-(1→2)-O-alpha-D-吡喃葡萄糖基-(1→2)-D-葡萄糖  O-beta-D-吡喃葡萄糖基-(1→3)-O-beta-D-吡喃葡萄糖基-(1→4)-O-beta-D-吡喃葡萄糖基-(1→4)-D-葡萄糖  O-beta-D-吡喃葡萄糖基-(1→4)-O-beta-D-吡喃葡萄糖基-(1→3)-O-beta-D-吡喃葡萄糖基-(1→4)-D-葡萄糖  (4alpha)-13-[(O-beta-D-吡喃葡萄糖基-(1→2)-O-[beta-D-吡喃葡萄糖基-(1→3)]-beta-D-吡喃葡萄糖基)氧基]-贝壳杉-15-烯-18-酸 beta-D-吡喃葡萄糖基酯  7-[(O-beta-D-吡喃葡萄糖基-(1→6)-O-beta-D-吡喃葡萄糖基-(1→6)-beta-D-吡喃葡萄糖基)氧基]-4-甲基-2H-1-苯并吡喃-2-酮  7-[(O-beta-D-吡喃葡萄糖基-(1→4)-O-beta-D-吡喃葡萄糖基-(1→4)-beta-D-吡喃葡萄糖基)氧基]-4-(三氟甲基)-2H-1-苯并吡喃-2-酮  O-alpha-D-吡喃葡萄糖基-(1→2)-O-alpha-D-吡喃葡萄糖基-(1→2)-D-葡萄糖  (2beta,3beta,4alpha)-3-[(4-O-beta-D-吡喃葡萄糖基-beta-D-吡喃葡萄糖基)氧基]-2,23-二羟基-齐墩果-12-烯-28-酸  (3beta,9beta,10alpha,24R)-24-[(2-O-beta-D-吡喃葡萄糖基-beta-D-吡喃葡萄糖基)氧基]-3-(beta-D-吡喃葡萄糖基氧基)-25-羟基-9-甲基-19-去甲羊毛甾-5-烯-11-酮