Online Database of Chemicals from Around the World

七(2,6-二-O-叔丁基二甲基硅烷基)-beta-环糊精
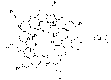
[CAS# 84346-53-2]

基本信息
英文名 Heptakis(2,6-di-O-tert-butyldimethylsilyl)-beta-cyclodextrin
别名 Heptakis(2,6-di(tert-butyldimethylsilyl))-beta-cyclodextrin; Heptakis(2,6-di-O-tert-butyldimethylsilyl) cyclomaltoheptaose
产品名称 七(2,6-二-O-叔丁基二甲基硅烷基)-beta-环糊精
分子结构 CAS 登录号:84346-53-2, 七(2,6-二-O-叔丁基二甲基硅烷基)-beta-环糊精
分子式 C126H266O35Si14
分子量 2734.64
CAS 登录号 84346-53-2
物理化学性质
溶解度 极易溶解 (1000 g/L) (25 ºC), 计算值*
密度 1.07±0.1 g/cm3 (20 ºC 760 torr), 计算值*
熔点 289-291 ºC (chloroform m乙醇 )**
* 使用计算软件 Advanced Chemistry Development (ACD/Labs) V11.02 (©1994-2016 ACD/Labs)
** Fugedi, Peter; Carbohydrate Research 1989, V192, P366-9.
市场分析报告
请浏览七(2,6-二-O-叔丁基二甲基硅烷基)-beta-环糊精市场分析报告总目录
相关产品
七氟丙基溴化物  七氟丙基五氟乙基醚  1-(1,1,2,2,3,3,3-七氟丙基)-2-(1,1,3,3,3-五氟丙基)二氮烯  全氟正丙基乙烯基醚  全氟环醚  七(乙酸)氧化三钌  七(3-O-乙酰基-2,6-二-O-甲基)-beta-环糊精  七(6-溴-6-脱氧)-beta-环糊精  3A,3B,3C,3D,6E,6F,6G-七-O-(羧甲基)-beta-环糊精  二甲基-bata-环糊精  七-O-(2-羟基丙基)-beta-环糊精  七(6-碘-6-脱氧)-beta-环糊精  N1-[3-[3,5,7,9,11,13,15-七(2-甲基丙基)五环[9.5.1.1(3,9).1(5,15).1(7,13)]八硅氧烷-1-基]丙基]-1,2-乙二胺  七(6-O-叔丁基二甲基硅烷基)-beta-环糊精  七(6-硫代-6-脱氧)-beta-环糊精  庚醛  3',4',5',3,5,7,8-七甲氧基黄酮  3',4',3,5,6,7,8-七甲氧基黄酮  3,3'',4'',5,5'',6,7-六甲氧基黄酮  七甲基二硅氮烷