Online Database of Chemicals from Around the World

利那洛肽乙酸盐
[CAS# 851199-60-5]

供应商目录
深圳市健元医药科技有限公司 中国 询价快递  
+86 (755) 2661-2112
jymed@jymedtech.com
QQ 交谈
化学品生产商 (2009年起)
chemBlink 标准供应商 (2012年起)
利那洛肽乙酸盐供应商总目录
基本信息
产品分类 原料药 >> 消化系统用药
英文名 Linaclotide acetate
别名 MM 416775
产品名称 利那洛肽乙酸盐
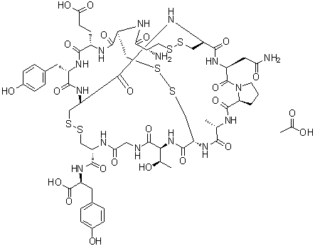
分子结构 CAS 登录号:851199-60-5, 利那洛肽乙酸盐
分子式 C59H79N15O21S6.C2H4O2
分子量 1586.80
CAS 登录号 851199-60-5
市场分析报告
请浏览利那洛肽乙酸盐市场分析报告总目录
相关产品
利奈西巴特  雷奈佐利  雷奈佐利杂质26  雷奈佐利 JXA 杂质  Linifanib  盐酸利多卡因一水合物  亚油酸  柠檬苦素  Limonol  利那洛肽  利拉利汀  利拉利汀二聚体杂质  利拉利汀氯杂质  利拉利汀杂质20  利拉利汀杂质26  利拉利汀杂质5  利拉利汀杂质64  利拉利汀杂质7  利拉利汀杂质B  利拉利汀杂质 KH-3