Online Database of Chemicals from Around the World

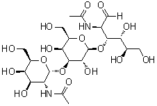
O-2-Acetamido-2-deoxy-alpha-D-galactosyl-(1 → 3)-O-beta-D-galactosyl-(1 → 3)-2-acetamido-2-deoxy-D-glucose
[CAS# 886750-14-7]

Identification
Name O-2-Acetamido-2-deoxy-alpha-D-galactosyl-(1 → 3)-O-beta-D-galactosyl-(1 → 3)-2-acetamido-2-deoxy-D-glucose
Molecular Structure CAS # 886750-14-7, O-2-Acetamido-2-deoxy-alpha-D-galactosyl-(1 → 3)-O-beta-D-galactosyl-(1 → 3)-2-acetamido-2-deoxy-D-glucose
Molecular Formula C22H38N2O16
Molecular Weight 586.54
CAS Registry Number 886750-14-7
Properties
Solubility Soluble (65 g/L) (25 ºC), Calc.*
Density 1.60±0.1 g/cm3 (20 ºC 760 Torr), Calc.*
* Calculated using Advanced Chemistry Development (ACD/Labs) Software V11.02 (©1994-2016 ACD/Labs)
Market Analysis Reports
List of Reports Available for O-2-Acetamido-2-deoxy-alpha-D-galactosyl-(1 → 3)-O-beta-D-galactosyl-(1 → 3)-2-acetamido-2-deoxy-D-glucose
Related Products
D-2-(Acetamido)butyric acid  4-Acetamido-3-chlorobenzoic acid  4-Acetamido-5-chloro-2-methoxybenzoic acid  2-Acetamido-4-chloro-5-methylphenol  (S)-2-Acetamido-3-(4-chlorophenyl)propanoic acid  (R)-2-Acetamido-3-(4-chlorophenyl)propanoic acid  2-Acetamido-6-chloropurine  4-Acetamido-2-chloropyridine  6-Acetamido-4-chromanone  trans-4-Acetamidocyclohexanol  Acetagastrodine  Acetal  Acetaldehyde  Acetaldehyde benzyl ethyl acetal  Acetaldehyde linalyl ethyl acetal  Acetaldoxime  Acetamide  Acetamide Baricitinib Impurity  Acetamidine hydrochloride  4'-Acetamidoacetophenone