Online Database of Chemicals from Around the World

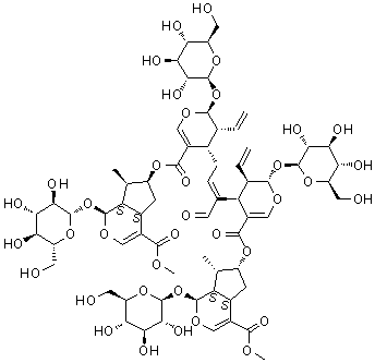
续断苷 A
[CAS# 889678-62-0]

供应商目录
BOC Sciences 美国 询价快递  
+1 (631) 485-4226
info@bocsci.com
化学品生产商
chemBlink 标准供应商 (2010年起)
成都普瑞法科技开发有限公司 中国 询价快递  
+86 (28) 8263-3860
8263-3987
sales@biopurify.com
biopurify@gmail.com
QQ 交谈
Skype 聊天
化学品生产商
chemBlink 标准供应商 (2017年起)
常州新星联生物科技有限公司 中国 询价快递  
+86 (519) 8555-7386
+86 18015025600
marketing1@neostarunited.com
化学品供销商 (2014年起)
chemBlink 标准供应商 (2020年起)
续断苷 A供应商总目录
基本信息
英文名 Dipsanoside A
产品名称 续断苷 A
分子结构 CAS 登录号:889678-62-0, 续断苷 A
分子式 C66H90O37
分子量 1475.40
CAS 登录号 889678-62-0
物理化学性质
溶解度 易溶 (970 g/L) (25 ºc), 计算值*
密度 1.61±0.1 g/cm3 (20 ºc 760 torr), 计算值*
* 使用计算软件 Advanced Chemistry Development (ACD/Labs) V11.02 (©1994-2015 ACD/Labs)
市场分析报告
请浏览续断苷 A市场分析报告总目录
相关产品
二丙基四硫化物  3,3'-二丙基硫杂羰花青碘化物  3,3'-二丙基噻二碳菁碘化物  alpha,alpha-二丙基-4-(三氟甲基)苯甲醇  二丙基三硫醚  N,N-二丙基色胺  N,N-二丙基色胺盐酸盐  1,3-二丙基脲  N,N-二-2-丙炔基-1-茚满胺盐酸盐  川续断皂苷 B  续断苷 B  龙脑香醇酮  二对甲基苯甲酰酒石酸  双吡喃酮  1,4-二(1H-吡唑-4-基)苯  1,4-二(1-芘基)苯  二(1-芘基)二氮烯 1-氧化物  3,5-二-1-芘基吡啶  2,7-二-1-芘基-9,9'-螺双[9H-芴]  2,2'-二-1-芘基-9,9'-螺双[9H-芴]