Online Database of Chemicals from Around the World

亚胺培南-西司他丁钠
[CAS# 92309-29-0]

供应商目录
无锡桥威国际贸易有限公司 中国 询价快递  
+86 (510) 8260-6408
sales@choriway.com
化学品供销商
chemBlink 标准供应商 (2007年起)
厦门志信化学有限公司 中国 询价快递  
+86 13806087780
sale@simagchem.com
化学品生产商 (2002年起)
chemBlink 标准供应商 (2008年起)
杭州新威医药化工有限公司 中国 询价快递  
+86 (571) 8509-5566
sales@nwchemical.com
化学品生产商
chemBlink 标准供应商 (2011年起)
亚胺培南-西司他丁钠供应商总目录
基本信息
产品分类 原料药 >> 抗生素类药物 >> β-内酰胺酶抑制剂
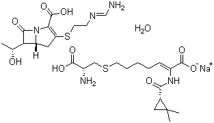
英文名 Imipenem-Cilastatin sodium hydrate
别名 Sodium (Z)-7-[(2R)-2-amino-3-hydroxy-3-oxopropyl]sulfanyl-2-[[(1S)-2,2-dimethylcyclopropanecarbonyl]amino]hept-2-enoate (5R,6S)-3-[2-(aminomethylideneamino)ethylsulfanyl]-6-(1-hydroxyethyl)-7-oxo-1-azabicyclo[3.2.0]hept-2-ene-2-carboxylic acid hydrate
产品名称 亚胺培南-西司他丁钠
分子结构 CAS 登录号:92309-29-0, 亚胺培南-西司他丁钠
分子式 C12H17N3O4S.C16H25N2NaO5S.H2O
分子量 697.80
CAS 登录号 92309-29-0
市场分析报告
请浏览亚胺培南-西司他丁钠市场分析报告总目录
相关产品
(2R,4R)-1-[(2S)-5-[[亚氨基(硝基氨基)甲基]氨基]-2-[[(3-甲基-8-喹啉基)磺酰基]氨基]-1-氧代戊基]-4-甲基-2-哌啶甲酸  (2R,4R)-1-[(2S)-5-[[亚氨基(硝基氨基)甲基]氨基]-2-[[(3-甲基-8-喹啉基)磺酰基]氨基]-1-氧代戊基]-4-甲基-2-哌啶甲酸乙酯  N-[[2-[[[4-[亚氨基[[(戊氧基)羰基]氨基]甲基]苯基]氨基]甲基]-1-甲基-1H-苯并咪唑-5-基]羰基]-N-2-吡啶基-beta-丙氨酸乙酯  N-[亚氨基(膦酰氨基)甲基]-N-甲基甘氨酸二钠盐四水合物  6-[(2-亚氨基-1-吡咯烷基)甲基]-2,4(1H,3H)-嘧啶二酮  亚氨基芪  2-亚氨基硫杂环戊烷盐酸盐  亚氨基三(二甲基氨基)膦烷  亚胺培南(一水物)  亚安培南  亚胺培南 EP 杂质A  米帕明  丙米嗪-d3  盐酸丙咪嗪  丙米嗪巴莫酸盐  咪多卡二丙酸盐  亚氨基二甲酸二叔丁酯-15N  咪唑啉基脲  伊米苷酶  2-亚氨基生物素