| ProteoChem, Inc. | 美国 | 询价快递 | ||
|---|---|---|---|---|
![]() |
+1 (720) 239-1630 | |||
![]() |
info@proteochem.com | |||
| 化学品生产商 | ||||
| chemBlink 标准供应商 (2009年起) | ||||
| Apexbio Technology LLC | 美国 | 询价快递 | ||
|---|---|---|---|---|
![]() |
+1 (832) 696-8203 | |||
![]() |
info@apexbt.com | |||
| 化学品生产商 (2012年起) | ||||
| chemBlink 标准供应商 (2013年起) | ||||
| Apollo Scientific Ltd. | 英国 | 询价快递 | ||
|---|---|---|---|---|
![]() |
+44 (161) 406-0505 | |||
![]() |
sales@apolloscientific.co.uk | |||
| 化学品生产商 | ||||
| SynInnova Laboratories Inc. | 美国 | 询价快递 | ||
|---|---|---|---|---|
![]() |
+1 (780) 485-2962 | |||
![]() |
sales@syninnova.com | |||
| 化学品生产商 | ||||
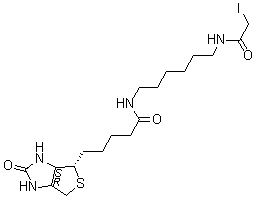
| 英文名 | N-Iodoacetyl-N'-biotinyl-1,6-hexanediamine |
|---|---|
| 别名 | (3aS,4S,6aR)-Hexahydro-N-[6-[(iodoacetyl)amino]hexyl]-2-oxo-1H-thieno[3,4-d]imidazole-4-pentanamide |
| 产品名称 | N-碘代乙酰基-N'-生物素基-1,6-己二胺 |
| 分子结构 | ![]() |
| 分子式 | C18H31IN4O3S |
| 分子量 | 510.43 |
| CAS 登录号 | 93285-75-7 |
| 溶解度 | 不溶 (2.4e-3 g/L) (25 ºC), 计算值* |
|---|---|
| 密度 | 1.414±0.06 g/cm3 (20 ºC 760 torr), 计算值* |
| * | 使用计算软件 Advanced Chemistry Development (ACD/Labs) V11.02 (©1994-2013 ACD/Labs) |
| SDS | 化学品安全技术说明书参考文本 |
|---|---|
| 市场分析报告 |
| 请浏览N-碘代乙酰基-N'-生物素基-1,6-己二胺市场分析报告总目录 |