Online Database of Chemicals from Around the World

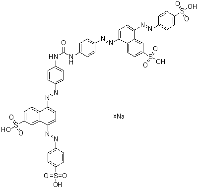
5,5'-[羰基二(亚氨基-4,1-亚苯基偶氮)]二[8-[(4-磺基苯基)偶氮]-2-萘磺酸钠盐
[CAS# 93982-54-8]

供应商目录
Alfa Chemistry 美国 询价快递  
+1 (201) 478-8534
inquiry@alfa-chemistry.com
化学品供销商 (2012年起)
chemBlink 标准供应商 (2012年起)
5,5'-[羰基二(亚氨基-4,1-亚苯基偶氮)]二[8-[(4-磺基苯基)偶氮]-2-萘磺酸钠盐供应商总目录
基本信息
产品分类 有机原料 >> 芳基化合物 >> 萘及其`衍生物
英文名 5,5'-[Carbonylbis(imino-4,1-phenyleneazo)]bis[8-[(4-sulfophenyl)azo]-2-naphthalenesulfonic acid sodium salt
产品名称 5,5'-[羰基二(亚氨基-4,1-亚苯基偶氮)]二[8-[(4-磺基苯基)偶氮]-2-萘磺酸钠盐
分子结构 CAS 登录号:93982-54-8, 5,5'-[羰基二(亚氨基-4,1-亚苯基偶氮)]二[8-[(4-磺基苯基)偶氮]-2-萘磺酸钠盐
分子式 C45H32N10O13S4.x(Na)
CAS 登录号 93982-54-8
EC 号码 301-242-2
市场分析报告
请浏览5,5'-[羰基二(亚氨基-4,1-亚苯基偶氮)]二[8-[(4-磺基苯基)偶氮]-2-萘磺酸钠盐市场分析报告总目录
相关产品
2-羧基苯甲醛  4'-羧基苯并-15-冠醚-5  4'-羧基苯并-18-冠醚-6  4-[(4-羧基苯甲酰基)氨基]苯甲酸  2-[[2-[(2-羧基苯甲酰基)氨基]乙氧基]甲基]-4-(2-氯苯基)-1,4-二氢-6-甲基-3,5-吡啶二甲酸 3-乙基 5-甲基酯  (4-羧基苄基)甲基二氨基甲酸二苄酯  4-[[(4-羧基丁基)[2-[2-[[4-(2-苯基乙基)苯基]甲氧基-(碳-14)]苯基]乙基]氨基]甲基]-苯甲酸盐酸盐  4-羧丁基三苯基溴化膦  三七素  3,3'-[羰基二[亚氨基(2-甲基-4,1-亚苯基)偶氮]]二-1,5-萘二磺酸锂钠盐  3,3'-羰基双-2-噻唑烷硫酮  羰基双(三氟乙酸)双(三苯基膦)钌  氯化羰基双三苯基磷基铷  羰基双(三苯基膦)氯化铱  羰基氯化金  羰基氢化[6-(二叔丁基膦甲基)-2-(N,N-二乙基氨基甲基)吡啶]氯化钌  三(三苯基膦)羰基氢氯化钌(II)  三(三苯基膦)羰基二氢钌(II)  N,N'-羰基二咪唑  羰基二碘(五甲基环戊二烯基)钴(III)