Online Database of Chemicals from Around the World
产品搜索
|
产品提交
|
English
主页
>>
化工产品目录
>>
F
>> 连翘苷
连翘苷
[CAS# 96420-61-0]
供应商目录
成都普瑞法科技开发有限公司
中国
询价快递
+86 (28) 8263-3860
8263-3987
sales@biopurify.com
biopurify@gmail.com
QQ 交谈
Skype 聊天
化学品生产商
chemBlink
标准供应商
(2017年起)
连翘苷供应商总目录
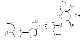
基本信息
英文名
Forsythin
产品名称
连翘苷
分子结构
分子式
C
27
H
34
O
11
分子量
534.56
CAS 登录号
96420-61-0
物理化学性质
熔点
181 ºC
*
*
Kunimine, Senkichi; Yakugaku Zasshi 1937, V57, P902-9.
市场分析报告
请浏览连翘苷市场分析报告总目录
相关产品
5-甲酰基尿嘧啶
N-甲酰基-L-缬氨酸
N-甲酰基-D-缬氨酸
N-甲酰基-L-缬氨酰-L-缬氨酸
4,4'-[(2-甲酰-1,4-亚苯基)双(氧基亚甲基)]双-环己烷羧酸
Forodesine
树皮含滇杠柳素 A
佛司可林
毛喉帖 G
毛喉帖 J
连翘脂苷 A
连翘脂苷 B
连翘酯苷 E
连翘酯苷 F
连翘脂苷 H
复能素
三尖杉种碱
Forxiga
福沙那韦