Online Database of Chemicals from Around the World

Capreomycin IIA
[CAS# 62639-89-8]

Suppliers
CAS#: 62639-89-8
Product: Capreomycin IIA
No suppilers available for the product.
Identification
Name Capreomycin IIA
Synonyms [(Z)-[(3S,9S,12S,15S)-15-Amino-9-(Aminomethyl)-3-[(4R)-2-Amino-3,4,5,6-Tetrahydropyrimidin-4-Yl]-2,5,8,11,14-Pentaketo-12-Methylol-1,4,7,10,13-Pentazacyclohexadec-6-Ylidene]Methyl]Urea; Brn 0875651; Capreomycin Ia, 1-De-(L-3,6-Diaminohexanoic Acid)-
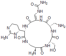
Molecular Structure CAS#: 62639-89-8, Capreomycin IIA
Molecular Formula C19H32N12O7
Molecular Weight 540.54
CAS Registry Number 62639-89-8
SMILES [C@H]1(NC(=NCC1)N)[C@@H]2NC(=O)\C(NC(=O)[C@@H](NC(=O)[C@@H](NC(=O)[C@@H](N)CNC2=O)CO)CN)=C\NC(=O)N
InChI 1S/C19H32N12O7/c20-3-9-14(34)28-10(5-26-19(23)38)15(35)31-12(8-1-2-24-18(22)30-8)17(37)25-4-7(21)13(33)29-11(6-32)16(36)27-9/h5,7-9,11-12,32H,1-4,6,20-21H2,(H,25,37)(H,27,36)(H,28,34)(H,29,33)(H,31,35)(H3,22,24,30)(H3,23,26,38)/b10-5-/t7-,8+,9-,11-,12-/m0/s1
InChIKey XFGCTBYTRMLWCB-MRSVHRRQSA-N
Properties
Density 1.886g/cm3 (Cal.)
Market Analysis Reports
List of Reports Available for Capreomycin IIA
Related Products
Capreomycin IIB  (2-Ethoxy-1-Propenyl)Triphenylphosphoniu...  Ajugarin I  4-[2-[(1R)-8aalpha-Acetoxymethyl-3,4,4ab...  4-[2-[(1S,8abeta)-4alpha-Acetoxy-4aalpha...  3-(N-Phthalimido)Propyltrichlorosilane  1-Butyl-1-Phenyl-Urea  Tetrahydro-1-Nitroso-2(1H)-Pyrimidinone  1-Nitroso-5,6-Dihydrothymine  2-Hydroxyethylnitrosocarbamic Acid Ethyl...  4,4'-Methylenebis[N-Furfurylideneaniline...  2-Amino-4,6-Dimercaptopyrimidine  1-Amino-4-[(1-Methylethyl)Amino]Anthraqu...  (E)-3-(4-Methoxyphenyl)-N-Methyl-Prop-2-...  Tetrahydro-alpha-[2-(Tetrahydrofuran-2-Y...