Online Database of Chemicals from Around the World

L-gamma-谷氨酰-S-[2-氨基-1-(2-羟基-3-甲氧基丙基)-1H-咪唑-4-基]-L-半胱氨酰甘氨酸
[CAS# 86356-71-0]

供应商
CAS#: 86356-71-0
产品: L-gamma-谷氨酰-S-[2-氨基-1-(2-羟基-3-甲氧基丙基)-1H-咪唑-4-基]-L-半胱氨酰甘氨酸
暂时没有厂家供应该产品。
基本信息
产品名称 L-gamma-谷氨酰-S-[2-氨基-1-(2-羟基-3-甲氧基丙基)-1H-咪唑-4-基]-L-半胱氨酰甘氨酸
英文名 L-gamma-Glutamyl-S-[2-amino-1-(2-hydroxy-3-methoxypropyl)-1H-imidazol-4-yl]-L-cysteinylglycine
别名 1-(2-Amino-(4-glutathion-S-yl)-1-imidazolyl)-3-methoxypropanol; 1-(2-Amino-(5-glutathion-S-yl)-1-imidazolyl)-3-methoxypropanol
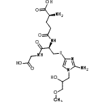
分子结构 CAS 登录号:86356-71-0, L-gamma-谷氨酰-S-[2-氨基-1-(2-羟基-3-甲氧基丙基)-1H-咪唑-4-基]-L-半胱氨酰甘氨酸
分子式 C17H28N6O8S
分子量 476.50
CAS 登录号 86356-71-0
分子行输入简码 SMILES O=C(O)[C@@H](N)CCC(=O)N[C@H](C(=O)NCC(=O)O)CSc1nc(N)n(c1)CC(O)COC
国际化学标识码 InChI 1S/C17H28N6O8S/c1-31-7-9(24)5-23-6-13(22-17(23)19)32-8-11(15(28)20-4-14(26)27)21-12(25)3-2-10(18)16(29)30/h6,9-11,24H,2-5,7-8,18H2,1H3,(H2,19,22)(H,20,28)(H,21,25)(H,26,27)(H,29,30)/t9?,10-,11-/m0/s1
国际化学标识检索码 InChIKey YTANSWIJQWDJMX-DVRYWGNFSA-N
物理化学性质
密度 1.604g/cm3 (计算值)
市场分析报告
请浏览L-gamma-谷氨酰-S-[2-氨基-1-(2-羟基-3-甲氧基丙基)-1H-咪唑-4-基]-L-半胱氨酰甘氨酸市场分析报告总目录
相关产品
D-苯丙氨酰-N-{(2S)-2-[(3-羧基-4...  2-氨基-3,9-二氢-9-[[(2-羟基-2-氧...  甲基3-环己基-2-(2-羟基苯基)-1H-吲哚-...  4,4,5,5,6,6,7,7,7-九氟-1-庚烯...  6-氟-4-甲基-2-联苯胺  4-溴-3-(4-氟苯基)-1-甲基-1H-吡唑  3,4-二氢-2H-1,4-噻嗪-3,5-二甲酸  (2E,4E,6E,8E,10E,12E)-14-...  (3E,5E,7E,9E,12E)-1,1-二羟基...  (17alpha)-6-氟胆甾-5-烯-3-醇  2,5,7,8-四甲基-2-(4,8,12-三甲基...  (2R,3R,4S,5S,6R)-2-{[(2R,...  (1R,2R,5R,6R,10R,13S,15R)...  1H-吡唑并[3,4-b]喹喔啉  4-[(3-氰基丙基)氨基]苯甲酸