基本信息
| 产品名称 |
替考拉宁 A2-2 |
| 英文名 |
Teicoplanin A2-2 |
| 别名 |
Teichomycin A2 Factor 2; Teicoplanin A2-2 |
|
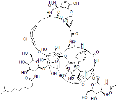
| 分子结构 |
 |
| 分子式 |
C88H97Cl2N9O33 |
| 分子量 |
1879.68 |
| CAS 登录号 |
91032-26-7 |
| 分子行输入简码 SMILES |
[C@H]%12(NC(=O)[C@H]7NC(=O)[C@H](NC(=O)[C@@H]5NC(=O)[C@H]2NC(=O)[C@H](NC(=O)[C@H](N)C1=CC(=C(O)C=C1)OC3=CC2=CC(=C3)O)CC%10=CC=C(OC6=C(O[C@@H]4O[C@@H]([C@@H](O)[C@H](O)[C@H]4NC(=O)CCCCCCC(C)C)CO)C(=CC5=C6)OC9=CC=C([C@H]7O[C@@H]8O[C@@H]([C@@H](O)[C@H](O)[C@ |
| 国际化学标识码 InChI |
1S/C88H97Cl2N9O33/c1-33(2)8-6-4-5-7-9-60(108)94-68-74(113)71(110)58(31-101)129-87(68)132-78-55-25-40-26-56(78)126-52-17-13-38(23-47(52)90)77(131-86-67(92-34(3)103)73(112)70(109)57(30-100)128-86)69-84(121)98-66(85(122)123)45-28-42(105)29-54(127-88-76(115)7 |
| 国际化学标识检索码 InChIKey |
GHOXVFYORXUCPY-QRZIFLFXSA-N |
|