| Wilshire Technologies, Inc. | 美国 | 询价快递 | ||
|---|---|---|---|---|
![]() |
+1 (609) 683-1117 | |||
![]() |
Wilshire-info@evonik.com | |||
| 化学品生产商 (1997年起) | ||||
| chemBlink 标准供应商 (2010年起) | ||||
| BOC Sciences | 美国 | 询价快递 | ||
|---|---|---|---|---|
![]() |
+1 (631) 485-4226 | |||
![]() |
info@bocsci.com | |||
| 化学品生产商 | ||||
| chemBlink 标准供应商 (2010年起) | ||||
| 成都普瑞法科技开发有限公司 | 中国 | 询价快递 | ||
|---|---|---|---|---|
![]() |
+86 (28) 8263-3860 8263-3987 | |||
![]() |
sales@biopurify.com biopurify@gmail.com | |||
![]() |
QQ 交谈 | |||
![]() |
Skype 聊天 | |||
| 化学品生产商 | ||||
| chemBlink 标准供应商 (2017年起) | ||||
| 常州新星联生物科技有限公司 | 中国 | 询价快递 | ||
|---|---|---|---|---|
![]() |
+86 (519) 8555-7386 +86 18015025600 | |||
![]() |
marketing1@neostarunited.com | |||
| 化学品供销商 (2014年起) | ||||
| chemBlink 标准供应商 (2020年起) | ||||
| 产品分类 | 生物化工 >> 植物提取物 |
|---|---|
| 英文名 | Jujuboside D |
| 别名 | Jujuboside A1; (3beta,16beta,23R)-16,23:16,30-Diepoxy-20-hydroxydammar-24-en-3-yl O-6-deoxy-alpha-D-galactopyranosyl-(1-2)-O-[O-beta-D-glucopyranosyl-(1-6)-O-[beta-D-xylopyranosyl-(1-2)]-beta-D-glucopyranosyl-(1-3)]-alpha-L-arabinopyranoside |
| 产品名称 | 酸枣仁皂甙 D; 酸枣甙 A1 |
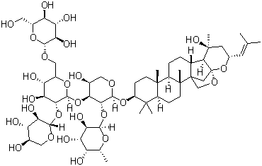
| 分子结构 | ![]() |
| 分子式 | C58H94O26 |
| 分子量 | 1207.35 |
| CAS 登录号 | 194851-84-8 |
| 密度 | 1.50 |
|---|---|
| 市场分析报告 |
| 请浏览酸枣仁皂甙 D市场分析报告总目录 |