Online Database of Chemicals from Around the World

酸枣仁皂苷 B1
[CAS# 68144-21-8]

供应商目录
成都普瑞法科技开发有限公司 中国 询价快递  
+86 (28) 8263-3860
8263-3987
sales@biopurify.com
biopurify@gmail.com
QQ 交谈
Skype 聊天
化学品生产商
chemBlink 标准供应商 (2017年起)
常州新星联生物科技有限公司 中国 询价快递  
+86 (519) 8555-7386
+86 18015025600
marketing1@neostarunited.com
化学品供销商 (2014年起)
chemBlink 标准供应商 (2020年起)
酸枣仁皂苷 B1供应商总目录
基本信息
产品分类 生物化工 >> 植物提取物
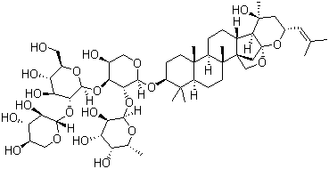
英文名 Jujuboside B1
别名 (3beta,16beta,23R)-16,23:16,30-Diepoxy-20-hydroxydammar-24-en-3-yl O-6-deoxy-alpha-D-galactopyranosyl-(1-2)-O-[O-beta-D-xylopyranosyl-(1-2)-beta-D-glucopyranosyl-(1-3)]-alpha-L-arabinopyranoside
产品名称 酸枣仁皂苷 B1
分子结构 CAS 登录号:68144-21-8, 酸枣仁皂苷 B1
分子式 C52H84O21
分子量 1045.21
CAS 登录号 68144-21-8
物理化学性质
密度 1.44
市场分析报告
请浏览酸枣仁皂苷 B1市场分析报告总目录
相关产品
约瑟膦 SL-J216-2  约瑟膦 SL-J505-1  Josiphos SL-J009-1 Pd G3  JPM 565 乙基酯  (-)-JQ-1  (+)-JQ-1  JTC 801  胡桃提取物  酸枣仁皂苷 A  酸枣仁皂苷 B  酸枣仁皂甙 D  Juliprosine  久洛尼定  9-醛基久洛尼定  灯心草酚  Junipal  Junipediol B  桧油  (+)-刺柏脑  JV 1-36